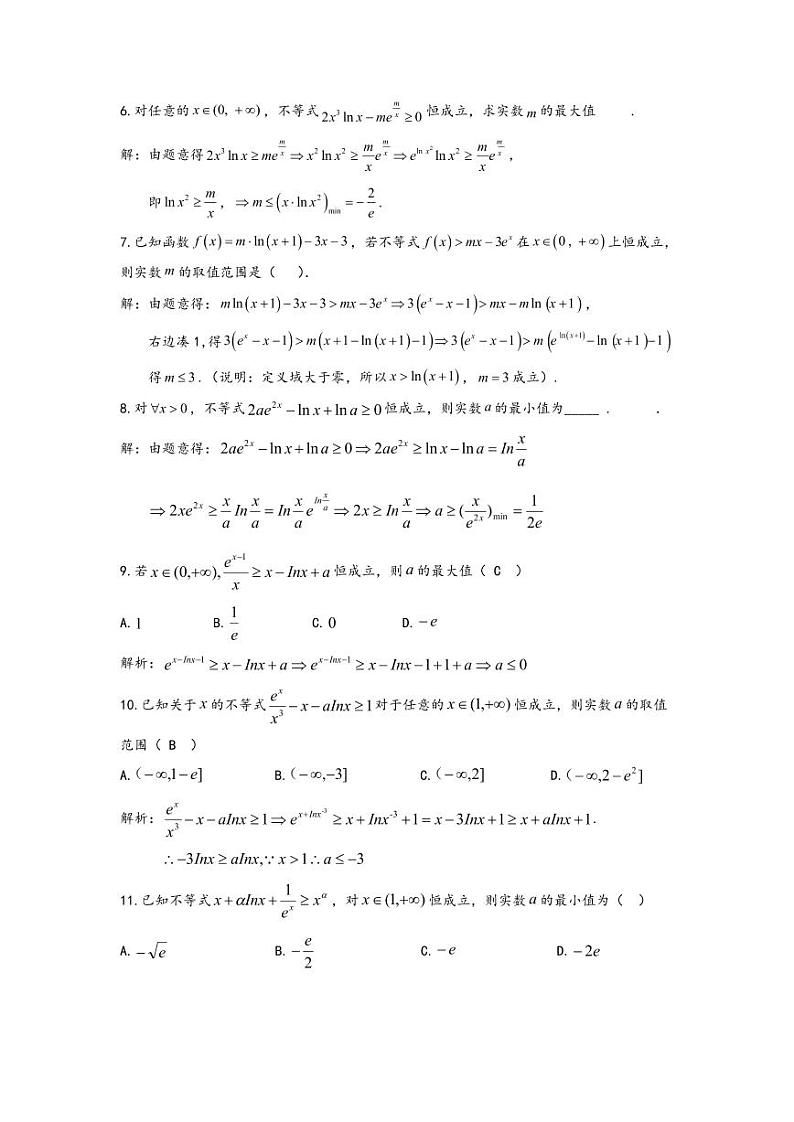
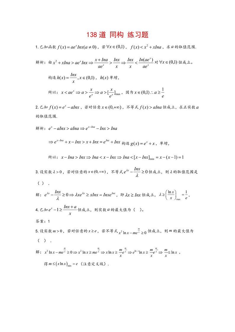
高考数学二轮专题复习——同构练习题(学生及教师版)
展开高考数学二轮复习专题指对同构: 这是一份高考数学二轮复习专题指对同构,共14页。
最新高考数学二轮复习(新高考)【专题突破精练】 第14讲 双元同构、指对同构与二次同构思想: 这是一份最新高考数学二轮复习(新高考)【专题突破精练】 第14讲 双元同构、指对同构与二次同构思想,文件包含第14讲双元同构指对同构与二次同构思想原卷版docx、第14讲双元同构指对同构与二次同构思想解析版docx等2份试卷配套教学资源,其中试卷共47页, 欢迎下载使用。
高考数学二轮专题复习——同构单调性: 这是一份高考数学二轮专题复习——同构单调性,共1页。试卷主要包含了若x,,,则,不等式的解集是等内容,欢迎下载使用。

