资料中包含下列文件,点击文件名可预览资料内容
还剩2页未读,
继续阅读
高一数学第一次月考数学试卷及参考答案
展开
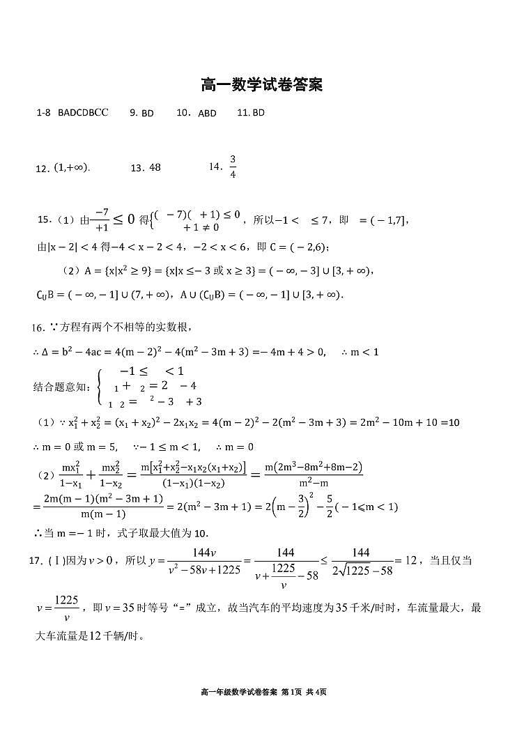
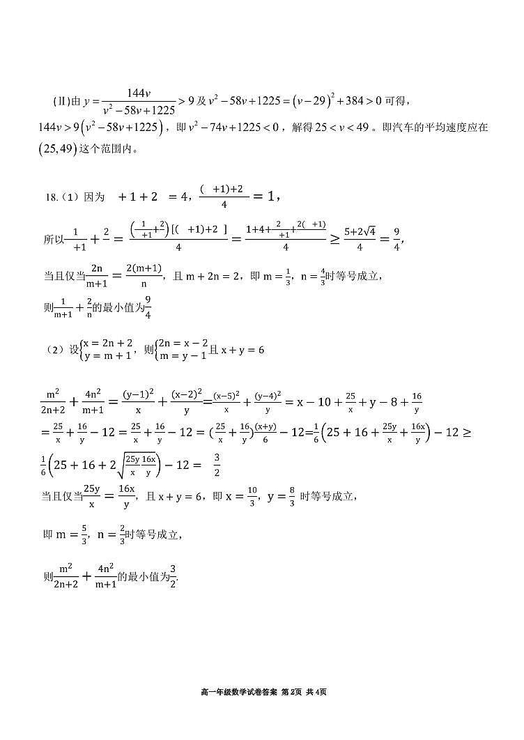
这是一份高一数学第一次月考数学试卷及参考答案,文件包含1高一数学试卷pdf、1高一数学答案pdf等2份试卷配套教学资源,其中试卷共8页, 欢迎下载使用。
相关试卷
江西金太阳高一下第一次月考数学试卷及参考答案:
这是一份江西金太阳高一下第一次月考数学试卷及参考答案,文件包含数学答案高一下第一次月考4月2日pdf、数学试卷高一下第一次月考4月2日pdf等2份试卷配套教学资源,其中试卷共6页, 欢迎下载使用。
雅礼中学 2023 年下学期高一第一次月考数学试卷及参考答案:
这是一份雅礼中学 2023 年下学期高一第一次月考数学试卷及参考答案,文件包含雅礼中学2023年下学期高一第一次月考解析版pdf、雅礼中学2023年下学期高一第一次月考pdf等2份试卷配套教学资源,其中试卷共24页, 欢迎下载使用。
2023长郡中学高一第一次月考数学试卷及参考答案:
这是一份2023长郡中学高一第一次月考数学试卷及参考答案,文件包含数学试卷长郡高一1pdf、数学答案长郡高一1pdf等2份试卷配套教学资源,其中试卷共12页, 欢迎下载使用。

