2025年高考数学一轮复习-第六章-第四节-平面向量的应用【课件】
展开
这是一份2025年高考数学一轮复习-第六章-第四节-平面向量的应用【课件】,共44页。PPT课件主要包含了核心考点·分类突破等内容,欢迎下载使用。
考点二平面向量的实际应用[例2](1)渭河某处南北两岸平行,如图所示,某艘游船从南岸码头A出发航行到北岸,假设游船在静水中航行速度的大小为|v1|=10 km/h,水流速度的大小为|v2|=6 km/h.设v1与v2的夹角为120°,北岸的点A'在码头A的正北方向,那么该游船航行到北岸的位置应( )A.在A'东侧B.在A'西侧C.恰好与A'重合D.无法确定
解题技法平面向量对物理背景问题主要研究下面三类1.求几个力的合力,可以用几何法通过解三角形求解,也可以用向量法求解.2.如果一个物体在力F的作用下产生位移为s,那么力F所做的功W=|F||s|cs θ,其中θ是F与s的夹角.由于力和位移都是向量,所以力所做的功就是力与位移的数量积.3.速度向量速度向量是具有大小和方向的向量,因而可用求向量和的平行四边形法则,求两个速度的合速度.
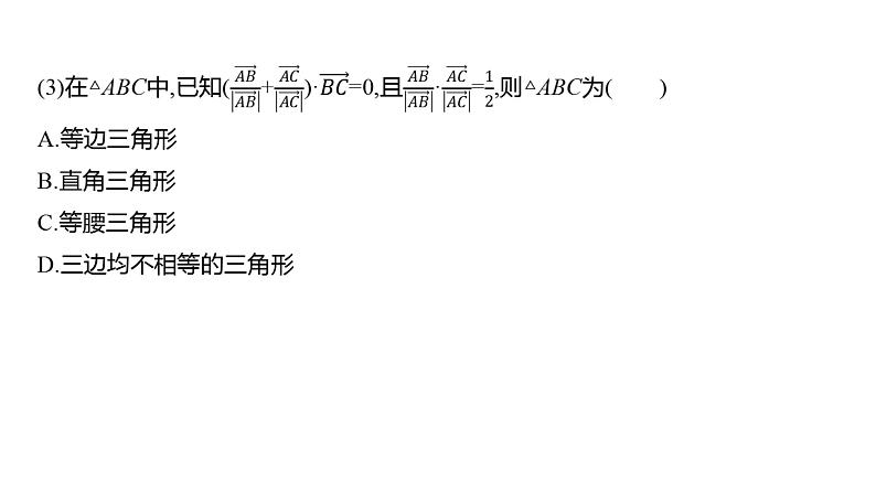
解题技法平面向量与三角函数的综合问题的解题思路(1)以向量为载体考查三角函数的综合应用题目,通过向量的坐标运算构建出三角函数,然后再考查有关三角函数的最值、单调性、周期性等三角函数性质问题,有时还加入参数,考查分类讨论的思想方法.(2)向量与三角函数结合时,通常以向量为表现形式,实现三角函数问题,所以要灵活运用三角函数中的相关方法与技巧求解.(3)注意向量夹角与三角形内角的区别与联系,避免出现将内角等同于向量夹角的错误.
考点四和向量有关的最值(范围)问题考情提示平面向量主要解决与平面向量基本定理有关的最值、范围问题,数量积的最值、范围问题,模的最值、范围问题.高考题中选择题、填空题、解答题都有考查.
解题技法和向量有关的最值、范围问题的解题策略1.平面向量中的范围、最值问题是热点问题,其基本题型是根据已知条件求某个变量的范围、最值,比如向量的模、数量积、向量夹角、系数的范围等.2.解题思路通常有两种:一是“形化”,即利用平面向量的几何意义,先将问题转化为平面几何中的最值或取值范围问题,然后根据平面图形的特征直接进行判断;二是“数化”,即利用平面向量的坐标运算,先把问题转化为代数中的函数最值与值域、不等式的解集、方程的有解等问题,然后利用函数、不等式、方程有关知识来解决.
相关课件
这是一份平面向量的应用课件——高考数学学业水平测试复习,共34页。PPT课件主要包含了续上表,2如图所示,解析如图所示等内容,欢迎下载使用。
这是一份2024版高考数学一轮复习教材基础练第五章平面向量及其应用复数第四节平面向量的应用教学课件,共26页。PPT课件主要包含了教材知识萃取,教材素材变式等内容,欢迎下载使用。
这是一份高考数学(理数)一轮复习5.4《平面向量的应用》课件(含详解),共41页。

