【名校】广东省深圳外国语学校2022-2023学年高二下学期期末数学试题
展开(数学)试题
注意事项:
1.答卷前,考生务必将自己的姓名、准考证号码填写在答题卡上.
2.作答时,务必将答案写在答题卡上.写在本试卷及草稿纸上无效.
3.考试结束后,将答题卡交回.
一、单选题:本题共8小题,每小题5分,共40分.在每小题给出的四个选项中,只有一项是符合题目要求的.
1. 已知集合,,,则实数的值为()
A. B. C. D.
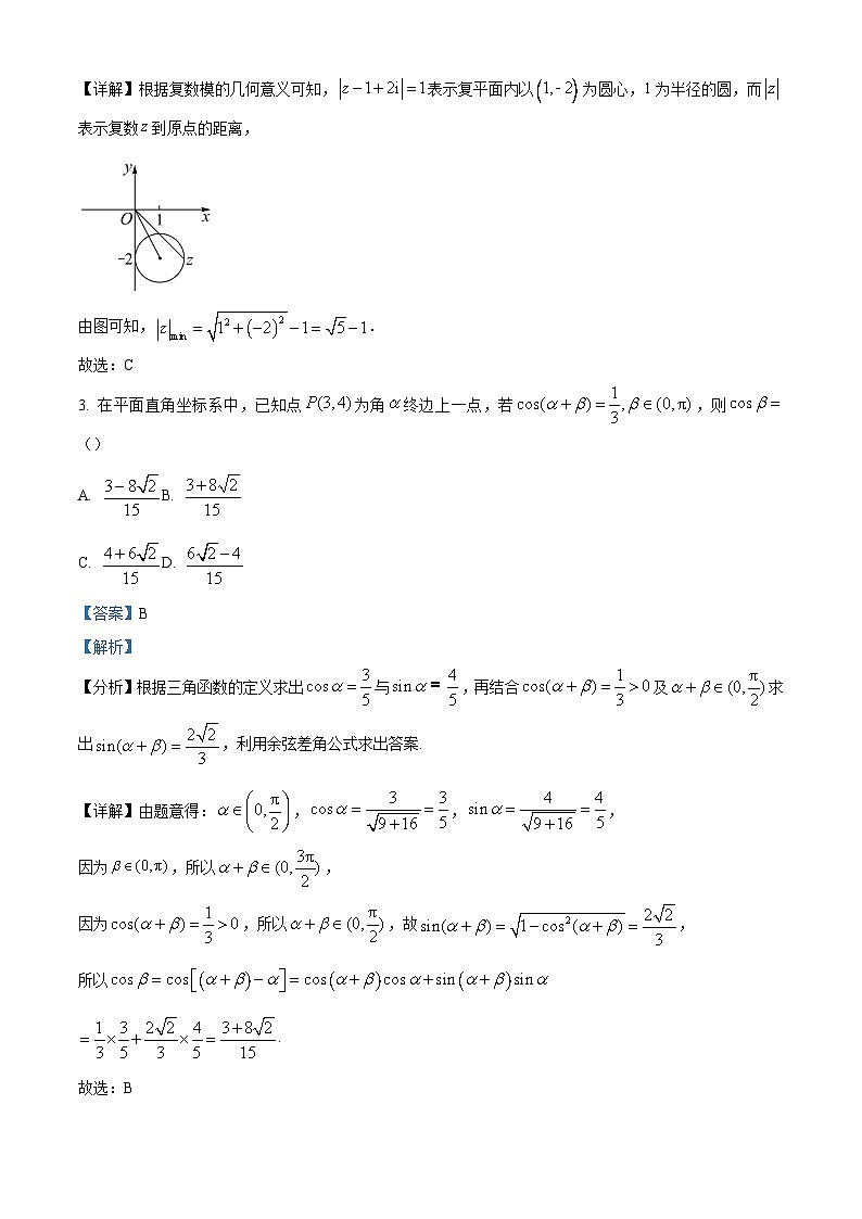
2. 设是复数且,则的最小值为()
A1B. C. D.
3. 在平面直角坐标系中,已知点为角终边上一点,若,则()
A. B.
C. D.
4. 已知圆台的上、下底面圆的半径之比为,侧面积为,在圆台的内部有一球,该球与圆台的上、下底面及母线均相切,则球的表面积为()
A. B. C. D.
5. 设为单位向量,在方向上的投影向量为,则()
A. B. C. D.
6. 已知改良工艺前所排放废水中含有的污染物数量为,首次改良工艺后排放的废水中含有的污染物数量为,第次改良工艺后排放的废水中含有的污染物数量满足函数模型,其中为改良工艺前所排放的废水中含有的污染物数量,为首次改良工艺后所排放的废水中含有的污染物数量,为改良工艺的次数.假设废水中含有的污染物数量不超过时符合废水排放标准,若该企业排放废水符合排放标准,则改良工艺次数最少要(参考数据:)()次.
A. 8B. 9C. 10D. 11
7. 设实数,e为自然对数的底数,若,则()
A. B. C. D.
8. 已知,分别为双曲线的左,右焦点,直线l过点,且与双曲线右支交于A,B两点,O为坐标原点,,的内切圆的圆心分别为,,则面积的取值范围是().
A. B.
C. D.
二、多选题:本题共4小题,每小题5分,共20分.在每小题给出的选项中,有多项符合题目要求.全部选对的得5分,部分选对的得2分,有选错的得0分.
9. 一个盒中装有质地、大小、形状完全相同的3个白球和4个红球,依次从中抽取两个球,规定:若第一次取到的是白球,则不放回,继续抽取下一个球;若第一次取到的是红球,则放回后继续抽取下一个球,下列说法正确的是()
A. 第二次取到白球的概率是
B. “取到两个红球”和“取到两个白球”互为对立事件
C. “第一次取到红球”和“第二次取到红球”互为独立事件
D. 已知第二次取到的是红球,则第一次取到的是白球的概率为
10. 设定义在R上的函数与的导函数分别为和.若,,且为奇函数,则().
A. ,B.
CD.
11. 对于数列,若存在常数,对任意的,恒有,则称数列为数列.比如,常数列满足此条件,所以是数列,以下说法正确的是( )
A. 首项为1,公比为等比数列是数列
B. 设是数列的前项和,若数列是数列,那么数列为数列
C. 等差数列一定为数列
D. 有界数列一定为数列
12. 已知正四面体的棱长为,其所有顶点均在球的球面上.已知点满足,过点作平面平行于和,平面分别与该正四面体的棱相交于点,则()
A. 四边形的周长是变化的
B. 四棱锥体积最大值为
C. 当时,平面截球所得截面的周长为
D. 当时,将正四面体绕旋转后与原四面体的公共部分的体积为
三、填空题:本题共4小题,每小题5分,共20分.
13. 一个容量为9的样本,它的平均数为,方差为,把这个样本中一个为4的数据去掉,变成一个容量为8的新样本,则新样本的平均数为________,方差为________.
14. 小明和爸爸妈妈、爷爷奶奶一同参加《中国诗词大会》的现场录制,5人坐成一排若小明的父母至少有一人与小明相邻,则不同的坐法总数为 ________.
15. 已知点在抛物线上,过点A作圆的两条切线分别交抛物线于B,C两点,则直线BC的方程为____________.
16. 在中,记角A,B,C所对的边分别是a,b,c,面积为S,则的最大值为______
四、解答题:本题共6小题,共70分.解答题应写出文字说明、证明过程或演算步骤.
17. 篮球诞生美国马萨诸塞州的春田学院.1891年,春田学院的体育教师加拿大人詹姆斯奈史密斯博士(James Naismith)为了对付冬季寒冷的气温,让学生们能够在室内有限的空间里继续进行有趣的传球训练.现有甲、乙、丙3名同学在某次传球的训练中,球从甲开始,等可能地随机传向另外2人中的1人,接球者接到球后再等可能地随机传向另外2人中的1人,如此不停地传下去,假设传出的球都能接住.记第n次传球之前球在甲手里的概率为pn,第n次传球之前球在乙手里的概率为qn,显然p1=1,q1=0.
(1)求p3+2q3的值;
(2)比较p8,q8的大小.
18. 已知函数的图象经过点.
(1)若的最小正周期为,求的解析式;
(2)若,,是否存在实数,使得在上单调?若存在,求出的取值集合;若不存在,请说明理由.
19. 放行准点率是衡量机场运行效率和服务质量的重要指标之一.某机场自2012年起采取相关策略优化各个服务环节,运行效率不断提升.以下是根据近10年年份数与该机场飞往A地航班放行准点率()(单位:百分比)的统计数据所作的散点图及经过初步处理后得到的一些统计量的值.
其中,
(1)根据散点图判断,与哪一个适宜作为该机场飞往A地航班放行准点率y关于年份数x的经验回归方程类型(给出判断即可,不必说明理由),并根据表中数据建立经验回归方程,由此预测2023年该机场飞往A地的航班放行准点率.
(2)已知2023年该机场飞往A地、B地和其他地区的航班比例分别为0.2、0.2和0.6.若以(1)中的预测值作为2023年该机场飞往A地航班放行准点率的估计值,且2023年该机场飞往B地及其他地区(不包含A、B两地)航班放行准点率的估计值分别为和,试解决以下问题:
(i)现从2023年在该机场起飞的航班中随机抽取一个,求该航班准点放行的概率;
(ii)若2023年某航班在该机场准点放行,判断该航班飞往A地、B地、其他地区等三种情况中的哪种情况的可能性最大,说明你的理由.
附:(1)对于一组数据,,…,,其回归直线的斜率和截距的最小二乘估计分别为,
参考数据:,,.
20. 如图,已知四棱锥的底面是平行四边形,分别是棱的中点,是棱上一点,且.
(1)求证:平面;
(2)若,求直线与平面所成角的正弦值.
21. 已知椭圆的离心率为,过点.
(1)求椭圆的标准方程;
(2)设椭圆的右焦点为F,定直线,过点F且斜率不为零的直线l与椭圆交于A,B两点,过A,B两点分别作于,于,直线、交于点,证明:点为定点,并求出点的坐标.
22. 已知函数.
(1)证明:函数在上有且只有一个零点;
(2)当时,求函数的最小值;
(3)设,若对任意的恒成立,且不等式两端等号均能取到,求的最大值.2017.5
80.4
1.5
40703145.0
16212542
27.7
1226.8
广东省深圳外国语学校2022-2023学年高二下学期期末数学试题: 这是一份广东省深圳外国语学校2022-2023学年高二下学期期末数学试题,文件包含广东省深圳外国语学校2022-2023学年高二下学期期末数学试题原卷版docx、广东省深圳外国语学校2022-2023学年高二下学期期末数学试题解析版docx、广东省深圳外国语学校2022-2023学年高二下学期期末数学试题docx等3份试卷配套教学资源,其中试卷共50页, 欢迎下载使用。
2022-2023学年广东省深圳市盐田区深圳外国语学校高二下学期5月月考数学试题含答案: 这是一份2022-2023学年广东省深圳市盐田区深圳外国语学校高二下学期5月月考数学试题含答案,共18页。试卷主要包含了单选题,多选题,填空题,解答题等内容,欢迎下载使用。
2022-2023学年广东省深圳市深圳外国语学校高一上学期期末数学试题(解析版): 这是一份2022-2023学年广东省深圳市深圳外国语学校高一上学期期末数学试题(解析版),共15页。试卷主要包含了单选题,多选题,填空题,解答题等内容,欢迎下载使用。

