湖北省荆州中学2024届高三下学期第三次适应性考试数学试卷Word版含答案答题卡
展开命题人: 审题人:
一、单项选择题(本题共8道小题,每题四个选项中有且仅有一个正确答案,每小题5分,共40分)
1.已知集合,其中是实数集,集合,则( )
2.已知圆直线方程则“圆与直线相切”是“方程表示的曲线为椭圆”的( )
充分非必要条件 必要非充分条件 充要条件 既非充分也非必要条件
3.同宿舍六位同学在食堂排队聚餐,其中,,三人两两不相邻,和是双胞胎,必须相邻,则符合排队要求的方法种数为( )
4.已知则的值为( )
5.已知正四棱台上底面边长为,下底面边长为,体积为,则正四棱台的侧棱与底面所成角的正切值为( )
6. 已知向量满足,,,则,
A.B.C.D.
7.上周联考的数学成绩服从正态分布且,负责命题的王老师考后随机抽取了个学生的数学成绩,设这10个学生中得分在的人数为,则随机变量的方差为( )
8.斜率为的直线经过双曲线的左焦点,交双曲线于两点,为双曲线的右焦点且,则双曲线的渐近线方程为( )
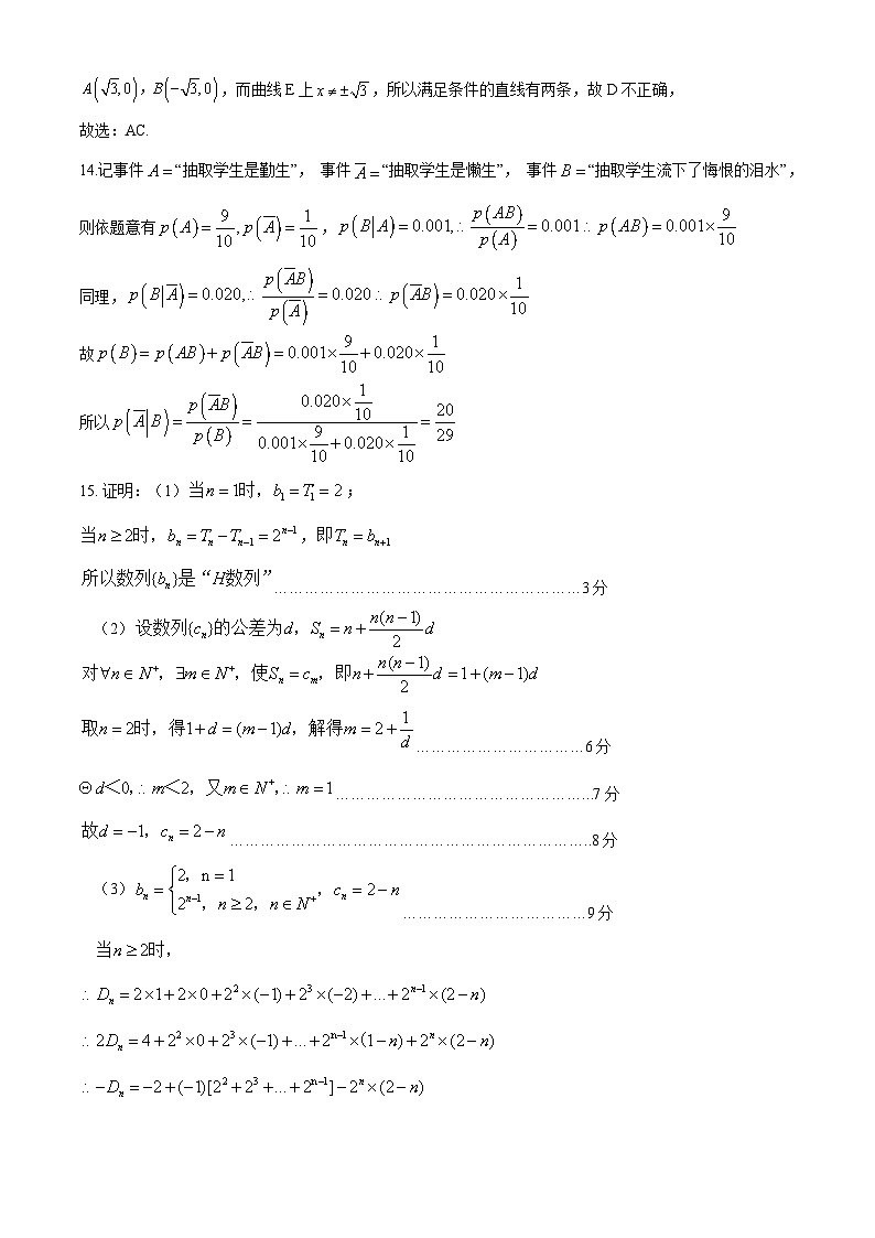
A.B.C.D.
二、多项选择题(本题共3道小题,每题四个选项中至少有两个正确答案,每小题6分,共18分)
9. 已知,则( )
A.的值为2B.的值为16
C.的值为-5D.的值为120
10. 设△ABC的内角A,B,C的对边分别为a,b,c,恒成立条件a=3cs C,b=1. 附加条件 = 1 \* GB3 ①△ABC的面积取到最大值; 附加条件②c=102.下列结论正确的是( )
A. B.tan C=2tan B
C.若恒成立条件和附加条件 = 1 \* GB3 ①成立,则
D.若恒成立条件和附加条件 = 2 \* GB3 ②成立,则
11.在平面直角坐标系中,动点与两个定点和连线的斜率之积等于,记点的轨迹为曲线,直线:与交于,两点,则( )
A.的方程为B.的离心率为
C.的渐近线与圆相切D.满足的直线仅有1条
三、填空题(本题共3道小题,每小题5分,共15分)
12.棣莫弗定理:若为正整数,则,其中为虚数单位,已知复数, 则的实部为___________.(第一个空满分2分,第二个空满分3分)
13.抛物线有如下光学性质:由焦点射出的光线经抛物线反射后平行于抛物线的对称轴;反之,平行于抛物线对称轴的入射光线经抛物线发射后必经过抛物线的焦点.已知抛物线的焦点为,一平行于轴的光线从点射出,经过抛物线上的点反射后,再经抛物线上的另一点射出,则直线的斜率为___________.
14.天道酬勤,勤能补拙,努力的人得到的结果也许不尽如人意,虽然问心无愧的他们往往能平静看待生活中的点点滴滴,后悔这个词离他们似乎很遥远,但面对不顺时,他们有时候也会反思一些细节,情不自禁的流下悔恨的泪水。其实每个人在生活中都曾有过后悔的经历,即便是懒惰成性,不思进取的人,遇到挫折时,他们中也会有人会反思过去的不足,即使明知悔之晚矣,也往往会流下悔恨的泪水。某位经验丰富的班主任老师,从高一开始,一直在反复告诫自己的学生:珍惜当下,积极进取,争做高考后无怨无悔的人,不做高考后如祥林嫂般的悔恨者。一晃三年过去了,这位班主任老师结合学生三年的表现,调查发现,自己任教的班级勤懒生人数之比为,结合自己对以前毕业于自己班的学生高考后的表现发现,勤生高考后流下悔恨的泪水的概率为0.001,而懒生高考后流下悔恨的泪水的概率为0.020.展望本届学生高考,他清楚地知道,自己班上一定有学生会在高考后流下悔恨的泪水,若真如该老师所料,有一位学生流下了悔恨的泪水,则这个学生恰好是一名懒生的概率为(结果用既约分数表示)
四、解答题(本题共5道小题,共77分)
15. (本题满分13分)
“数列”定义:数列的前项和为,如果对于任意的正整数,总存在正整数使则称数列是“数列”。
(1)若数列的前项和为求证:数列是“数列”;
(2)已知数列是“数列”,且数列是首项为,公差小于的等差数列,求数列的通项公式;
(3)若数列满足:求数列的前项和。
16. (本题满分15分)
如图,四边形ABCD为菱形,∠ABC=120°,E,F是平面ABCD同一侧的两点,BE⊥平面ABCD,DF⊥平面ABCD,BE=2DF,AE⊥EC.
(1)证明:平面AEC⊥平面AFC;
(2)求直线AE与直线CF所成角的余弦值.
17. (本题满分15分)
为推广滑雪运动,某滑雪场开展滑雪促销活动.促销活动期间的收费标准是:滑雪时间不超过1小时免费,超过1小时的部分每小时收费标准为40元(不足1小时的部分按1小时计算).促销活动期间,有甲、乙两人相互独立地来该滑雪场运动,设甲、乙两人滑雪不超过1小时就离开的概率分别为eq \f(1,4),eq \f(1,6);滑雪1小时以上且不超过2小时再离开的概率分别为eq \f(1,2),eq \f(2,3);且两人滑雪时间都不会超过3小时.
(1)求甲、乙两人所付滑雪费用相同的概率;
(2)设甲、乙两人所付的滑雪费用之和为随机变量ξ,求ξ的分布列与均值E(ξ),方差D(ξ).
18. (本题满分17分)
已知圆心是原点,点,以线段为直径的圆内切于动点的轨迹记为曲线
(1)求曲线的方程;
(2)若直线,点,直线过点与曲线交于两点,与直线交于点.
= 1 \* GB3 ①若求直线的斜率;
= 2 \* GB3 ②若记直线的斜率分别为问是否为定值?如果是,请求出定值;如果不是,请说明理由。
19. (本题满分17分)
已知函数,其中是自然对数的底数。
(1)当时,求曲线在点处的切线的斜截式方程;
(2)当时,求出函数的所有零点;
(3)证明:。
2024荆州中学高三下学期5月第四次适应性考试数学试卷含答案: 这是一份2024荆州中学高三下学期5月第四次适应性考试数学试卷含答案,文件包含湖北省荆州中学2024届高三下学期5月第四次适应性考试数学试卷docx、湖北省荆州中学2024届高三下学期5月第四次适应性考试数学试卷答案docx等2份试卷配套教学资源,其中试卷共11页, 欢迎下载使用。
湖北省荆州中学2024届高三下学期5月第四次适应性考试数学试卷: 这是一份湖北省荆州中学2024届高三下学期5月第四次适应性考试数学试卷,文件包含试卷docx、答案docx等2份试卷配套教学资源,其中试卷共11页, 欢迎下载使用。
湖北省荆州中学2024届高三下学期第三次适应性考试数学试卷含答案答题卡: 这是一份湖北省荆州中学2024届高三下学期第三次适应性考试数学试卷含答案答题卡,文件包含数学高三第三次适应性考试参考答案docx、荆州中学2021级高三下学期第三次适应性考试数学docx、荆州中学2021级高三下学期第三次适应性考试数学答题卡1pdf等3份试卷配套教学资源,其中试卷共12页, 欢迎下载使用。

