还剩9页未读,
继续阅读
指数与指数函数复习课件-2025届高三数学一轮复习
展开
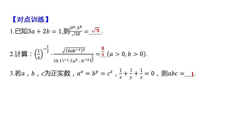
这是一份指数与指数函数复习课件-2025届高三数学一轮复习,共17页。PPT课件主要包含了知识梳理·归纳1,考点一指数幂的理解,考点二指数幂的运算,解题技法,对点训练,知识梳理·归纳2,角度1,比较指数幂大小,角度2,角度3等内容,欢迎下载使用。
例1.(多选题)下列结论错误的是( )
指数幂运算的一般原则(1)有括号的先算括号里的,无括号的先做指数运算.(2)先乘除后加减,负指数幂化成正指数幂的倒数.(3)底数是字母,先确定符号;底数是小数,先化成分数;底数是带分数的,先化成假分数.(4)若是根式,应化为分数指数幂,尽可能用幂的形式表示,运用指数幂的运算性质来计算.
2.指数函数的图象与性质
考点一 指数函数的图象及应用
A. B. C. D.
考点二 指数函数的性质的应用
解简单的指数方程或不等式
指数函数性质的综合应用
相关课件
§2.7 指数与指数函数 课件-2025高考数学一轮复习:
这是一份§2.7 指数与指数函数 课件-2025高考数学一轮复习,共60页。PPT课件主要包含了落实主干知识,as+t,ast,atbt,0+∞,探究核心题型,例1计算,原式=,=6×3=18,由1知a=-1等内容,欢迎下载使用。
指数与指数函数-高考数学一轮复习课件PPT:
这是一份指数与指数函数-高考数学一轮复习课件PPT,共39页。PPT课件主要包含了无意义,ar+s,ars,arbr,y=ax,0+∞,增函数,减函数,答案B,答案D等内容,欢迎下载使用。
新高考数学一轮复习课件 第2章 §2.6 指数与指数函数:
这是一份新高考数学一轮复习课件 第2章 §2.6 指数与指数函数,共60页。PPT课件主要包含了落实主干知识,探究核心题型,课时精练等内容,欢迎下载使用。

