北京市育才学校2023-2024学年高一下学期期中考试数学试题(Word版附解析)
展开一、选择题(本大题共10小题,每小题4分,共40分)
1. 的值为( )
A. B. C. D.
2. 下列函数中,最小正周期为且是偶函数的是( )
A. B.
C. D.
3. 设向量,则( )
A. B. C. D.
4. 在△ABC中,已知,,,则( )
A. 1B. C. 2D. 3
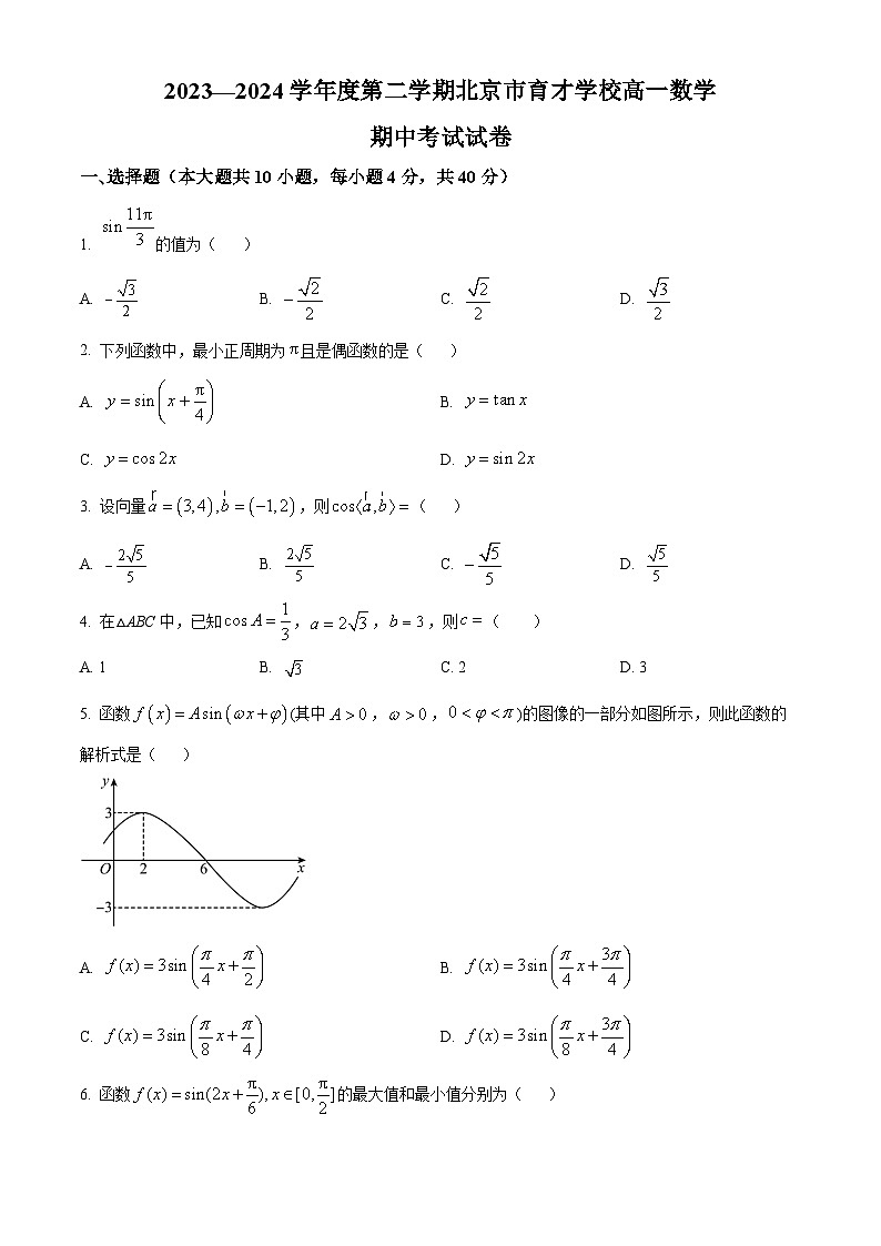
5. 函数(其中,,)的图像的一部分如图所示,则此函数的解析式是( )
A. B.
C. D.
6. 函数的最大值和最小值分别为( )
A B. C. D.
7. 已知向量在正方形网格中的位置如图所示.若网格纸上小正方形的边长为1,则( )
A. 2B. C. 1D.
8. 在中,已知,则( )
A. B. C. D.
9. 已知函数,则“在上既不是增函数也不是减函数”是“”的( )
A. 充分不必要条件B. 必要不充分条件
C. 充分必要条件D. 既不充分也不必要条件
10. 如图,正方形的边长为2,为正方形四条边上的一个动点,则的取值范围是( )
A. B. C. D.
二、填空题(本大题共5小题,每小题5分,共25分)
11. 已知圆的半径为2,则的圆心角的弧度数为__________;所对的弧长为__________.
12. 已知向量,.若,则__________,__________.
13. 若函数的一个零点为,则__________;将函数的图象向左至少平移__________个单位,得到函数的图象.
14. 设平面向量为非零向量,且.能够说明“若,则”是假命题的一组向量的坐标依次为__________.
15. 已知函数,给出下列四个结论:
①函数奇函数;
②函数有无数个零点;
③函数最大值为1;
④函数没有最小值.
其中,所有正确结论的序号为__________.
三、解答题(本大题共6小题,共85分)
16. 在平面直角坐标系中,角以为始边,终边经过点.
(1)求,的值;
(2)求的值.
17. 已知平面向量与的夹角为,
(1)求;
(2)求值:
(3)当何值时,与垂直.
18. 已知函数.
(1)求;
(2)求函数的最小正周期及对称轴方程;
(3)求函数的单调递增区间.
19. 在△中,,,再从条件①、条件②这两个条件中选择一个作为已知.
(1)求;
(2)求的面积.
条件①:;条件②:.
注:如果选择条件①和条件②分别解答,按第一个解答计分.
20. 已知函数.
(1)求的值;
(2)求函数的在上单调递减区间;
(3)若函数在区间上有且只有两个零点,求的取值范围.
21. 某地进行老旧小区改造,有半径为米,圆心角为的一块扇形空置地(如图),现欲从中规划出一块三角形绿地,其中在上,,垂足为,,垂足为,设;
(1)求,(用表示);
(2)当在上运动时,这块三角形绿地的最大面积,以及取到最大面积时的值.2023—2024学年度第二学期北京市育才学校高一数学
期中考试试卷
一、选择题(本大题共10小题,每小题4分,共40分)
1. 值为( )
A. B. C. D.
【答案】A
【解析】
【分析】利用诱导公式及特殊角三角函数值计算可得.
【详解】.
故选:A
2. 下列函数中,最小正周期为且是偶函数的是( )
A. B.
C. D.
【答案】C
【解析】
【分析】由三角函数的最小正周期公式和函数奇偶性对选项一一判断即可得出答案.
【详解】对于A,的最小正周期为:,故A不正确;
对于B,的最小正周期为:,
的定义域为,关于原点对称,令,
则,所以为奇函数,故B不正确;
对于C,的最小正周期为:,
令的定义域为关于原点对称,
则,所以为偶函数,故C正确;
对于D,的最小正周期为:,
的定义域为,关于原点对称,令,
则,所以为奇函数,故D不正确.
故选:C.
3. 设向量,则( )
A. B. C. D.
【答案】D
【解析】
【分析】根据给定条件,利用向量夹角的坐标表示求解即得.
【详解】向量,则.
故选:D
4. 在△ABC中,已知,,,则( )
A. 1B. C. 2D. 3
【答案】D
【解析】
【分析】直接利用余弦定理求解即可
【详解】因为在△ABC中,,,,
所以由余弦定理得,
,得,
解得,或(舍去),
故选:D
5. 函数(其中,,)的图像的一部分如图所示,则此函数的解析式是( )
A. B.
C. D.
【答案】C
【解析】
【分析】根据图象可以求出最大值,结合函数的零点,根据正弦型函数的最小正周期公式,结合特殊值法进行求解即可.
【详解】由函数图象可知函数的最大值为,所以,
由函数图象可知函数的最小正周期为,
因为,所以,所以,
由图象可知:
,即,
因为,
所以令,所以,因此,
故选:C
6. 函数的最大值和最小值分别为( )
A. B. C. D.
【答案】A
【解析】
【分析】根据给定条件,求出相位的范围,再利用正弦函数的性质求解即得.
【详解】由,得,则当,即时,,
当,即时,,
所以所求最大值、最小值分别为.
故选:A
7. 已知向量在正方形网格中的位置如图所示.若网格纸上小正方形的边长为1,则( )
A. 2B. C. 1D.
【答案】B
【解析】
【分析】根据给定信息,利用向量数量的运算律,结合数量积的定义计算得解.
【详解】依题意,,
因此,,
所以.
故选:B
8. 在中,已知,则( )
A. B. C. D.
【答案】C
【解析】
【分析】根据给定条件,利用正弦定理边化角,再逆用和角的正弦求出即得.
【详解】在中,由及正弦定理,得,
则,即,而,
因此,而,
所以.
故选:C
9. 已知函数,则“在上既不是增函数也不是减函数”是“”的( )
A. 充分不必要条件B. 必要不充分条件
C. 充分必要条件D. 既不充分也不必要条件
【答案】B
【解析】
【分析】以为整体结合正弦函数的性质可得,进而根据充分、必要条件分析判断.
【详解】因为且,则,
若在上既不是增函数也不是减函数,
则,解得,
又因为,
所以“在上既不是增函数也不是减函数”是“”的必要不充分条件.
故选:B.
10. 如图,正方形的边长为2,为正方形四条边上的一个动点,则的取值范围是( )
A. B. C. D.
【答案】D
【解析】
【分析】建立平面直角坐标系,分点P在CD上,点P在BC上,点P在AB上,点P在AD上,利用数量积的坐标运算求解.
【详解】解:建立如图所示平面直角坐标系:
则,
当点P在CD上时,设,
则,
所以;
当点P在BC上时,设,
则,
所以;
当点P在AB上时,设,
则,
所以;
当点P在AD上时,设,
则,
所以;
综上:的取值范围是.
故选:D
二、填空题(本大题共5小题,每小题5分,共25分)
11. 已知圆的半径为2,则的圆心角的弧度数为__________;所对的弧长为__________.
【答案】 ①. ## ②. ##
【解析】
【分析】利用度与弧度的互化关系,弧长计算公式求解即可.
【详解】的圆心角的弧度数为;所对的弧长为.
故答案为:;
12. 已知向量,.若,则__________,__________.
【答案】 ①. ②.
【解析】
【分析】利用坐标法求出向量的模,再根据向量共线的坐标表示求出.
【详解】因为向量,所以,
又且,
所以,解得.
故答案为:;.
13. 若函数的一个零点为,则__________;将函数的图象向左至少平移__________个单位,得到函数的图象.
【答案】 ①. 1 ②. ##
【解析】
【分析】利用零点的意义求出;利用辅助角公式化简函数,再借助平移变换求解即得.
【详解】函数的一个零点为,得,解得;
则,显然,
所以的图象向左至少平移个单位,得到函数的图象.
故答案为:1;
14. 设平面向量为非零向量,且.能够说明“若,则”是假命题的一组向量的坐标依次为__________.
【答案】(答案不唯一)
【解析】
【分析】令向量与向量都垂直,且即可得解.
【详解】令,显然,而,
因此能说明“若,则”是假命题,
所以向量的坐标依次为.
故答案为:
15. 已知函数,给出下列四个结论:
①函数是奇函数;
②函数有无数个零点;
③函数的最大值为1;
④函数没有最小值.
其中,所有正确结论序号为__________.
【答案】②③
【解析】
【分析】根据偶函数的定义判断①,令求出函数的零点,即可判断②,求出函数的最大值即可判断③,根据函数值的特征判断④.
【详解】函数的定义域为,
又,所以为偶函数,故①错误;
令,
所以函数有无数个零点,故②正确;
因为,当,即时取等号,
又因为,当且仅当时取等号,所以有,当且仅当时取等号,
所以有,当且仅当时取等号,因此有,即,故③正确;
因为为偶函数,函数图象关于轴对称,只需研究函数在上的情况即可,
当时,又,所以当时,
又,
当时,,所以,
当时,,所以,
当时,,所以,
又,,,且为连续函数,所以存在最小值,
事实上的图象如下所示:由图可知存在最小值,故④错误.
故答案为:②③
三、解答题(本大题共6小题,共85分)
16. 在平面直角坐标系中,角以为始边,终边经过点.
(1)求,值;
(2)求的值.
【答案】(1),
(2),,
【解析】
【分析】(1)由三角函数的定义求出,再由二倍角正切公式求出;
(2)由三角函数的定义求出,,再由两角和的余弦公式计算可得.
【小问1详解】
因为角以为始边,终边经过点,
所以,则.
【小问2详解】
因为角以为始边,终边经过点,
所以,,
所以
.
17. 已知平面向量与的夹角为,
(1)求;
(2)求的值:
(3)当为何值时,与垂直.
【答案】(1)4,9,3;
(2);
(3).
【解析】
【分析】(1)利用数量积的定义计算即得.
(2)利用数量积的运算律计算即得.
(3)利用垂直关系的向量表示,数量积的运算律求解即得.
【小问1详解】
向量与的夹角为,
所以.
【小问2详解】
依题意,.
【小问3详解】
由,得,解得,
所以当时,与垂直.
18. 已知函数.
(1)求;
(2)求函数的最小正周期及对称轴方程;
(3)求函数的单调递增区间.
【答案】(1)1; (2),;
(3).
【解析】
【分析】(1)代入计算求出函数值.
(2)(3)利用辅助角公式化简函数,再结合正弦函数的图象与性质求解即得.
【小问1详解】
函数,所以.
【小问2详解】
函数,所以函数的最小正周期;
由,解得,
所以函数图象的对称轴方程为.
【小问3详解】
由,得,
所以函数的单调递增区间是.
19. 在△中,,,再从条件①、条件②这两个条件中选择一个作为已知.
(1)求;
(2)求的面积.
条件①:;条件②:.
注:如果选择条件①和条件②分别解答,按第一个解答计分.
【答案】(1)选①②答案相同,;
(2)选①②答案相同,的面积为.
【解析】
【分析】(1)选①,用余弦定理得到,从而得到答案;选②:先用余弦定理求出,再用余弦定理求出,得到答案;(2)选①,先求出,使用面积公式即可;选②:先用求出,再使用面积公式即可.
【小问1详解】
选条件①:.
在△中,因为,,,
由余弦定理,得.
因为,
所以;
选条件②:
由余弦定理得:,解得:或(舍去)由余弦定理,得.
因为,
所以;
【小问2详解】
选条件①:
由(1)可得.
所以的面积.
选条件②:.
由(1)可得.
因为
,
所以的面积. .
20. 已知函数.
(1)求的值;
(2)求函数的在上单调递减区间;
(3)若函数在区间上有且只有两个零点,求的取值范围.
【答案】(1)
(2)
(3)
【解析】
【分析】(1)利用二倍角公式及和差角公式化简函数解析式,再代入计算可得;
(2)由的取值范围求出的范围,再根据正弦函数的性质得到,解得即可;
(3)由的取值范围求出的范围,再根据正弦函数的性质得到不等式组,解得即可.
【小问1详解】
因为
,
所以.
【小问2详解】
当时,
令,解得,
所以函数的在上的单调递减区间为.
【小问3详解】
当时,,
又函数在区间上有且只有两个零点,
所以,解得,
即的取值范围为.
21. 某地进行老旧小区改造,有半径为米,圆心角为的一块扇形空置地(如图),现欲从中规划出一块三角形绿地,其中在上,,垂足为,,垂足为,设;
(1)求,(用表示);
(2)当在上运动时,这块三角形绿地的最大面积,以及取到最大面积时的值.
【答案】(1),
(2)三角形绿地的最大面积是平方米,此时
【解析】
【分析】(1)利用锐角三角函数表示出、;
(2)依题意可得,则,利用三角恒等变换公式化简,再结合正弦函数的性质求出最大值.
【小问1详解】
中,,,
∴(米),
又,所以,
在中,可得(米).
【小问2详解】
由题可知,
∴的面积
,
又,,
∴当,即时,的面积有最大值平方米,
即三角形绿地的最大面积是平方米,此时.
北京市育才学校2023-2024学年高一下学期期中考试数学试题(解析版): 这是一份北京市育才学校2023-2024学年高一下学期期中考试数学试题(解析版),共15页。试卷主要包含了的值为,设向量,则,在△ABC中,已知,,,则,函数的最大值和最小值分别为,在中,已知,则等内容,欢迎下载使用。
重庆市渝北区两江育才中学校2023-2024学年高一上学期期末模拟数学试题(Word版附解析): 这是一份重庆市渝北区两江育才中学校2023-2024学年高一上学期期末模拟数学试题(Word版附解析),共20页。试卷主要包含了单项选择题,多项选择题,填空题,解答题等内容,欢迎下载使用。
重庆市九龙坡区育才中学校2023-2024学年高一上学期第三次月考数学试题(Word版附解析): 这是一份重庆市九龙坡区育才中学校2023-2024学年高一上学期第三次月考数学试题(Word版附解析),共20页。试卷主要包含了12, 已知,,,则,,的大小关系是, 函数的大致图象是, 已知函数,则函数零点个数是, 下列说法正确的是, 下列命题是真命题的是等内容,欢迎下载使用。

