还剩31页未读,
继续阅读
高考数学二轮专题复习——平面向量解题技巧
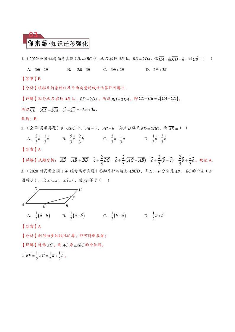
展开
这是一份高考数学二轮专题复习——平面向量解题技巧,共34页。
相关试卷
【二轮复习】高考数学 专题03 平面向量(考点精练).zip:
这是一份【二轮复习】高考数学 专题03 平面向量(考点精练).zip,文件包含二轮复习高考数学专题03平面向量考点精练原卷版docx、二轮复习高考数学专题03平面向量考点精练解析版docx等2份试卷配套教学资源,其中试卷共90页, 欢迎下载使用。
【二轮复习】高考数学 题型12 5类平面向量(解题技巧).zip:
这是一份【二轮复习】高考数学 题型12 5类平面向量(解题技巧).zip,文件包含二轮复习高考数学题型125类平面向量解题技巧原卷版docx、二轮复习高考数学题型125类平面向量解题技巧解析版docx等2份试卷配套教学资源,其中试卷共52页, 欢迎下载使用。
高考数学二轮专题复习——平面向量中等和线的应用:
这是一份高考数学二轮专题复习——平面向量中等和线的应用,共7页。

