所属成套资源:【压轴冲刺】2024年新高考数学二轮复习新定义压轴题综合讲义
专题07 线性代数背景下的新定义(三大题型)-2024年新高考数学突破新定义压轴题综合讲义
展开
这是一份专题07 线性代数背景下的新定义(三大题型)-2024年新高考数学突破新定义压轴题综合讲义,文件包含专题07线性代数背景下的新定义三大题型原卷版docx、专题07线性代数背景下的新定义三大题型解析版docx等2份试卷配套教学资源,其中试卷共41页, 欢迎下载使用。
一、注意基础知识的整合、巩固。二轮复习要注意回归课本,课本是考试内容的载体,是高考命题的依据。浓缩课本知识,进一步夯实基础,提高解题的准确性和速度
二、查漏补缺,保强攻弱。在二轮复习中,对自己的薄弱环节要加强学习,平衡发展,加强各章节知识之间的横向联系,针对“一模”考试中的问题要很好的解决,根据自己的实际情况作出合理的安排。
三、提高运算能力,规范解答过程。在高考中运算占很大比例,一定要重视运算技巧粗中有细,提高运算准确性和速度,同时,要规范解答过程及书写。
四、强化数学思维,构建知识体系。同学们在听课时注意把重点要放到理解老师对问题思路的分析以及解法的归纳总结,以便于同学们在刷题时做到思路清晰,迅速准确。
五、解题快慢结合,改错反思。审题制定解题方案要慢,不要急于解题,要适当地选择好的方案,一旦方法选定,解题动作要快要自信。
六、重视和加强选择题的训练和研究。对于选择题不但要答案正确,还要优化解题过程,提高速度。灵活运用特值法、排除法、数形结合法、估算法等。
专题07 线性代数背景下的新定义
【题型归纳目录】
题型一:行列式背景
题型二:矩阵背景
题型三:向量组背景
【典型例题】
题型一:行列式背景
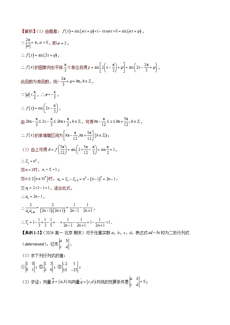
【典例1-1】(2024·高三·云南曲靖·阶段练习)定义行列式运算: ,若函数 (,)的最小正周期是,将其图象向右平移个单位后得到的图象关于原点对称.
(1)求函数的单调增区间;
(2)数列的前项和,且,求证:数列的前项和.
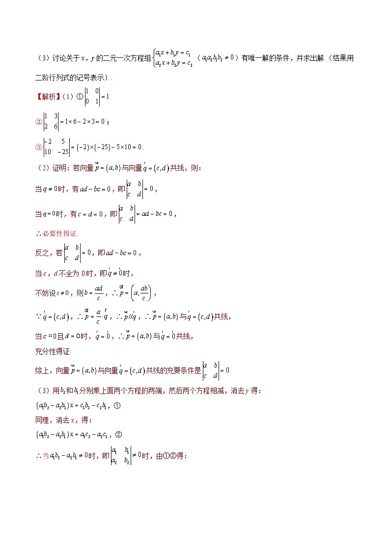
【典例1-2】(2024·高一·北京·期末)对于任意实数a,b,c,d,表达式称为二阶行列式(determinant),记作,
(1)求下列行列式的值:
①;②;③;
(2)求证:向量与向量共线的充要条件是;
(3)讨论关于x,y的二元一次方程组()有唯一解的条件,并求出解.(结果用二阶行列式的记号表示).
【变式1-1】(2024·高二·全国·单元测试)我们用(,、、、)表示矩阵的第行第列元素.已知该矩阵的每一行每一列都是等差数列,并且,,.
(1)求;
(2)求关于,的关系式;
(3)设行列式,求证:对任意、,、、时,都有.
题型二:矩阵背景
【典例2-1】(2024·广东·一模)数值线性代数又称矩阵计算,是计算数学的一个重要分支,其主要研究对象包括向量和矩阵.对于平面向量,其模定义为.类似地,对于行列的矩阵,其模可由向量模拓展为(其中为矩阵中第行第列的数,为求和符号),记作,我们称这样的矩阵模为弗罗贝尼乌斯范数,例如对于矩阵,其矩阵模.弗罗贝尼乌斯范数在机器学习等前沿领域有重要的应用.
(1),,矩阵,求使的的最小值.
(2),,,矩阵求.
(3)矩阵,证明:,,.
【典例2-2】(2024·高三·海南省直辖县级单位·开学考试)由个数排列成行列的数表称为行列的矩阵,简称矩阵,也称为阶方阵,记作:其中表示矩阵中第行第列的数.已知三个阶方阵分别为,,其中分别表示中第行第列的数.若,则称是生成的线性矩阵.
(1)已知,若是生成的线性矩阵,且,求;
(2)已知,矩阵,矩阵是生成的线性矩阵,且.
(i)求;
(ii)已知数列满足,数列满足,数列的前项和记为,是否存在正整数,使成立?若存在,求出所有的正整数对;若不存在,请说明理由.
【变式2-1】(2024·高二·北京丰台·期末)已知数表,,,其中,,分别表示,,中第行第列的数.若,则称是,的生成数表.
(1)若数表,,且是,的生成数表,求;
(2)对,,
数表,,与满足第i行第j列的数对应相同().是,的生成数表,且.
(ⅰ)求,;
(ⅱ)若恒成立,求的最小值.
【变式2-2】(2024·高二·北京·学业考试)已知和数表,其中.若数表满足如下两个性质,则称数表由生成.
①任意中有三个,一个3;
②存在,使中恰有三个数相等.
(1)判断数表是否由生成;(结论无需证明)
(2)是否存在数表由生成?说明理由;
(3)若存在数表由生成,写出所有可能的值.
题型三:向量组背景
【典例3-1】(2024·高一·上海·阶段练习)对于一组向量,,,…,,(且),令,如果存在,使得,那么称是该向量组的“长向量”.
(1)设,且,若是向量组,,的“长向量”,求实数x的取值范围;
(2)若,且,向量组,,,…,是否存在“长向量”?给出你的结论并说明理由;
(3)已知,,均是向量组,,的“长向量”,其中,.设在平面直角坐标系中有一点列,,,…,满足,为坐标原点,为的位置向量的终点,且与关于点对称,与(且)关于点对称,求的最小值.
【典例3-2】(2024·高一·上海奉贤·期末)对于一个向量组,令,如果存在,使得,那么称是该向量组的“好向量”
(1)若是向量组的“好向量”,且,求实数的取值范围;
(2)已知,,均是向量组的“好向量”,试探究的等量关系并加以证明.
【变式3-1】(2024·高三·上海宝山·期末)对于一组向量,,,…,,令,如果存在,使得,那么称是该向量组的“向量”.
(1)设,若是向量组,,的“向量”,求实数的取值范围;
(2)若,向量组,,,…,是否存在“向量”?给出你的结论并说明理由;
(3)已知、、均是向量组,,的“向量”,其中,.设在平面直角坐标系中有一点列,,…满足:为坐标原点,为的位置向量的终点,且与关于点对称,与关于点对称,求的最小值.
【过关测试】
1.(2024·高一·四川成都·期中)定义行列式运算: ,若函数()的最小正周期是.
(1)求函数的单调增区间;
(2)数列的前项和,且,求证:数列的前项和.
2.(2024·高二·上海宝山·阶段练习)已知数列和满足:,且成等比数列,成等差数列.
(1)行列式,且,求证:数列是等差数列;
(2)在(1)的条件下,若不是常数列,是等比数列,
①求和的通项公式;
②设是正整数,若存在正整数,使得成等差数列,求的最小值.
3.(2024·高一·吉林延边·期中)已知定义在上的奇函数满足,且在上是增函数;又定义行列式; 函数(其中)
(1)证明: 函数在上也是增函数;
(2)若函数的最大值为,求的值;
(3)若记集合恒有,恒有,求满足的的取值范围.
4.(2024·湖北孝感·模拟预测)定义矩阵运算:.已知数列,满足,且.
(1)证明:,分别为等差数列,等比数列.
(2)求数列的前n项和.
5.(2024·高二·陕西西安·期中)有个正数,排成矩阵(行列的数表):,表示位于第行,第列的数.其中每一行的数成等差数列,每一列的数成等比数列,并且所有的公比都相等,已知,,.
(1)求公比.
(2)用表示.
(3)求的值.
6.(2024·高二·江苏苏州·期中)设2阶方矩阵,则矩阵A所对应的矩阵变换为:,其中,,其意义是把点变换为点,矩阵M叫做变换矩阵.
(1)当变换矩阵时,点,经矩阵变换后得到点分别是,,求经过,的直线的方程;
(2)当变换矩阵,点经矩阵的作用变换后得到点,求实数m,n的值.
7.(2024·上海·模拟预测)设A是由个实数组成的2行n列的矩阵,满足:每个数的绝对值不大于1,且所有数的和为零.记为所有这样的矩阵构成的集合.记为A的第一行各数之和,为A的第二行各数之和,为A的第i列各数之和.记为、、、、…、中的最小值.
(1)若矩阵,求;
(2)对所有的矩阵,求的最大值;
(3)给定,对所有的矩阵,求的最大值.
8.(2024·高三·河南·期末)三阶行列式是解决复杂代数运算的算法,其运算法则如下:若,则称为空间向量与的叉乘,其中,, 为单位正交基底. 以 为坐标原点、分别以,,的方向为 轴、 轴、 轴的正方向建立空间直角坐标系,已知,是空间直角坐标系中异于 的不同两点
(1)①若,,求;
②证明.
(2)记的面积为 ,证明:.
(3)证明:的几何意义表示以为底面、为高的三棱锥体积的倍.
9.(2024·高一·贵州·期末)如图一,在平面直角坐标系中,为坐标原点,,,请根据以下信息,处理问题(1)和(2).信息一:为坐标原点,,若将顺时针旋转得到向量,则,且;信息二:与的夹角记为,与的夹角记为,则;信息三:;信息四:,叫二阶行列式.
(1)求证:,(外层“”表示取绝对值);
(2)如图二,已知三点,,,试用(1)中的结论求的面积.
10.(2024·高二·上海浦东新·期中)对于一组向量,令,如果存在,使得,那么称是该向量组的“向量”;
(1)设,若是向量组,,的“向量”,求的范围;
(2)若,向量组是否存在“向量”?给出你的结论并说明理由.
11.(2024·高一·山西大同·阶段练习)元向量()也叫维向量,是平面向量的推广,设为正整数,数集中的个元素构成的有序组称为上的元向量,其中为该向量的第个分量.元向量通常用希腊字母等表示,如上全体元向量构成的集合记为.对于,记,定义如下运算:加法法则,模公式,内积,设的夹角为,则.
(1)设,解决下面问题:
①求;
②设与的夹角为,求;
(2)对于一个元向量,若,称为维信号向量.规定,已知个两两垂直的120维信号向量满足它们的前个分量都相同,证明:.
12.(2024·高一·辽宁抚顺·开学考试)在第六章 平面向量初步中我们学习了向量的加法、减法和数乘向量三种运算,以及由它们组合成的线性运算.那向量乘法该怎样运算呢?数学中向量的乘法有两种:数量积和矢量积.这些我们还都没学到.现在我们重新定义一种向量的乘法运算:若,,则.请按这种运算,解答如下两道题.
(1)已知,,求.
(2)已知,,求.
13.(2024·高二·上海徐汇·期中)对于一个向量组,令,如果存在,使得,那么称是该向量组的“长向量”
(1)若是向量组的“长向量”,且,求实数的取值范围;
(2)已知,,均是向量组的“长向量”,试探究,,的等量关系并加以证明.
相关试卷
这是一份专题06 高等解析几何背景新定义(七大题型)-2024年新高考数学突破新定义压轴题综合讲义,文件包含专题06高等解析几何背景新定义七大题型原卷版docx、专题06高等解析几何背景新定义七大题型解析版docx等2份试卷配套教学资源,其中试卷共79页, 欢迎下载使用。
这是一份专题05 数列下的新定义- 2024年新高考数学突破新定义压轴题综合讲义,文件包含专题05数列下的新定义七大题型原卷版docx、专题05数列下的新定义七大题型解析版docx等2份试卷配套教学资源,其中试卷共78页, 欢迎下载使用。
这是一份专题04 高等数学定理背景命题(六大题型)-2024年新高考数学突破新定义压轴题综合讲义,文件包含专题04高等数学定理背景命题六大题型原卷版docx、专题04高等数学定理背景命题六大题型解析版docx等2份试卷配套教学资源,其中试卷共67页, 欢迎下载使用。

