辽宁省沈阳市五校协作体2023-2024学年高一下学期5月期中考试数学试题
展开考试时间:120分钟
分数:150分
试卷说明:本试卷共二部分:第一部分:选择题型(1-11题 58分)
第二部分:非选择题型(12-19题 92分)
第Ⅰ卷(选择题 共58分)
一、选择题:本题共8小题的,每小题5分,共40分. 在每小题给出的四个选项中,只有一项是符合题目要求.
1. ,则是( )
第一或第二象限角第二或第四象限角
第一或第三象限角第二或第三象限角
对于任意非零向量,,,若,在上的投影向量互为相反向量,下列结论一定成立的是( )
∥ ∥
⊥ ⊥
3.2024年2月4日,“龙行中华——甲辰龙年生肖文物大联展”在山东孔子博物馆举行,展览的多件文物都有“龙”的元素或图案。出土于鲁国故城遗址的“出廓双龙勾云纹黄玉璜”(图1)就是这样一件珍宝,玉璜璜身满刻勾云纹,体扁平,呈扇面状,璜身外镂空雕饰“S”型双龙,造型精美。现要计算璜身面积(厚度忽略不计),测得各项数据(图2):,,,若,,则璜身(即曲边四边形)面积近似为( )
图1
4.已知向量,,若,则( )
5.函数的部分图象如图所示,是等腰直角三角形,其中两点为图象与轴的交点,为图象的最高点,且,则( )
6.若,则( )
或 或
7.剪纸是中国古老的传统民间艺术之一,剪纸时常会沿着纸的某条对称轴对折.将一张纸片先左右折叠,再上下折叠,然后沿半圆弧虚线裁剪,展开得到最后的图形,若正方形ABCD的边长为4,点P在四段圆弧上运动,则的取值范围为( )
8.已知,,,则下列不等式成立的是( )
二、选择题:本题共3小题,每小题6分,共18分. 在每小题给出的选项中,有多项符合题目要求. 全部选对的得6分,部分选对的得部分分,有选错的得0分.
9.四边形内接于圆,,,,下列结论正确的有( )
四边形为梯形 四边形 的面积为
圆的直径为 的三边长度满足
10.下列命题正确的是( )
向量在向量上的投影为,则.
已知,若与的夹角不为锐角,则t的取值范围为.
点在所在的平面内,且满足,则点是的垂心.
在平面直角坐标系中,,,而且三点不共线,则.
11.已知函数,则( )
在区间单调递增.
的图象关于直线 对称.
的值域为 .
关于的方程在区间有实数根,则所有根之和组成的集合为.第Ⅱ卷(选择题 共92分)
三、填空题:本题共3小题,每小题5分,共15分.
12.在中,,则
13.设是单位向量,且,则的范围为
14.已知函数的部分图像如图所示,则满足条件的最小正整数x为________.
四、解答题:本题共5小题,共77分. 解答应写出文字说明、证明过程或演算步骤.
15.(13分)
在中,已知,,.
(1)求的大小;
(2)若,求函数在上的单调递增区间.
16.(15分)
已知向量,.
若∥,求.
若,函数 ;
(ⅰ)求的值域.
(ⅱ)当取最小值时,求与垂直的单位向量的坐标.
17.(15分)
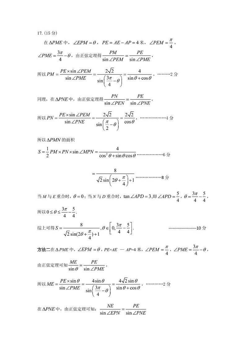
如图,矩形ABCD是一个历史文物展览厅的俯视图,点E在AB上,在梯形BCDE区域内部展示文物,DE是玻璃幕墙,游客只能在ADE区域内参观.在AE上点P处安装一可旋转的监控摄像头,为监控角,其中M、N在线段DE(含端点)上,且点M在点N的右下方.经测量得知AD=6米,AE=6米,AP=2米,.记(弧度),监控摄像头的可视区域PMN的面积为S平方米.
(1)求S关于的函数关系式,并写出的取值范围;(参考数据)
(2)求的最小值.
18.(17分)
在锐角中,内角的对边分别为,的面积为,且
, .
(1)求的面积最大值.
(2)求的取值范围.
19.(17分)
“费马点”是由十七世纪法国数学家费马提出并征解的一个问题.该问题是:“在一个三角形内求作一点,使其与此三角形的三个顶点的距离之和最小.”意大利数学家托里拆利给出了解答,当的三个内角均小于时,使得的点即为费马点;当有一个内角大于或等于时,最大内角的顶点为费马点.
试用以上知识解决下面问题:已知的内角所对的边分别为,且
(1)求;
(2)若,设点为的费马点,求;
(3)设点为的费马点,,求实数的最小值.
辽宁省沈阳市五校协作体2023-2024高一上学期期末数学试卷及答案: 这是一份辽宁省沈阳市五校协作体2023-2024高一上学期期末数学试卷及答案,共9页。
辽宁省沈阳市五校协作体2022-2023学年高一上学期期末数学试题(含答案): 这是一份辽宁省沈阳市五校协作体2022-2023学年高一上学期期末数学试题(含答案),共14页。试卷主要包含了单选题,多选题,填空题,解答题等内容,欢迎下载使用。
33,辽宁省沈阳市五校协作体2023-2024学年高二上学期期中考试数学试题: 这是一份33,辽宁省沈阳市五校协作体2023-2024学年高二上学期期中考试数学试题,共18页。试卷主要包含了选择题,填空题,解答题等内容,欢迎下载使用。

