四川省成都市成华区某校2023-2024学年高三“三诊”数学(文)试题
展开1.已知集合,,则( )
A.B.C.D.
2.已知一样本数据(如茎叶图所示)的中位数为12,若,均小于4,则的值为( )
A.2B.3C.4D.5
3.已知角的顶点在坐标原点,始边与轴非负半轴重合,,为其终边上一点,则( )
A.B.4C.D.1
4.已知,,,则( )
A.B.C.D.
5.若实数,满足约束条件则的最大值为( )
A.0B.C.D.2
6.“中国剩余定理”又称“孙子定理”,1852年英国来华传教士伟烈亚力将《孙子算经》中“物不知数”问题的解法传至欧洲.1874年英国数学家马西森指出此法符合1801年由高斯得出的关于同余式解法的一般性定理,因而西方称之为“中国剩余定理”,“中国剩余定理”讲的是一个关于同余的问题.现有这样一个问题:将正整数中能被3除余1且被2除余1的数按由小到大的顺序排成一列,构成数列,则( )
A.55B.49C.43D.37
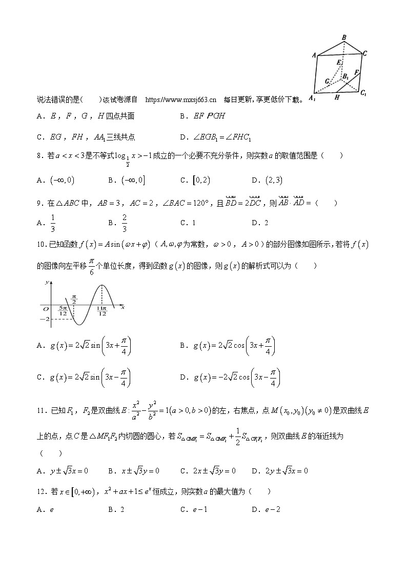
7.如图,在三棱柱中,,,,分别为,,,的中点,则下列说法错误的是( )该试卷源自 每日更新,享更低价下载。
A.,,,四点共面B.
C.,,三线共点D.
8.若是不等式成立的一个必要不充分条件,则实数的取值范围是( )
A.B.C.D.
9.在中,,,,且,则( )
A.B.C.1D.2
10.已知函数(为常数,,)的部分图像如图所示,若将的图像向左平移个单位长度,得到函数的图像,则的解析式可以为( )
A.B.
C.D.
11.已知,是双曲线的左,右焦点,点是双曲线上的点,点是内切圆的圆心,若,则双曲线的渐近线为( )
A.B.C.D.
12.若,恒成立,则实数的最大值为( )
A.B.2C.D.
二、填空题:本题共4小题,每小题5分,共20分.
13.《九章算术》中,称四个面均为直角三角形的四面体为“鳖臑”.已知某“鳖臑”的三视图如图所示,则该“鳖臑”的体积为___________.
14.若复数满足,则的最小值为___________.
15.设抛物线的焦点为,准线为,是抛物线上位于第一象限内的一点,过作的垂线,垂足为,若直线的倾斜角为120°,则___________.
16.已知三棱锥的顶点都在球的表面上,若球的表面积为,,,,则当三棱锥的体积最大时,___________.
三、解答题:共70分,解答应写出文字说明,证明过程或演算步骤.第17~21题为必考题,每个试题考生都必须作答;第22、23题为选考题,考生根据要求作答,(一)必考题:共60分.
17.(本小题12分)
某手机生产厂商要生产一款5G手机,在生产之前,该公司对手机屏幕的需求尺寸进行社会调查,共调查了400人,将这400人按对手机屏幕的需求尺寸分为6组,分别是:,,,,,(单位:英寸),得到如下频率分布直方图:其中,屏幕需求尺寸在的一组人数为50人.
(1)求和的值;
(2)用分层抽样的方法在屏幕需求尺寸为和两组人中抽取6人参加座谈,并在6人中选择2人做代表发言,则这2人来自同一分组的概率是多少?
18.(本小题12分)
已知正项数列的前项积为,且满足.
(1)求证:数列为等比数列;
(2)求数列的前项和.
19.(本小题12分)
如图,在三棱台中,在边上,平面平面,,,,,.
(1)证明:;
(2)若且的面积为,求三棱锥的体积.
20.(本小题12分)
已知椭圆的长轴为双曲线的实轴,且椭圆过点.
(Ⅰ)求椭圆的标准方程;
(Ⅱ)点,是椭圆上异于点的两个不同的点,直线与的斜率均存在,分别记为,,且,证明:直线的经过定点,并求出定点坐标.
21.(本小题12分)
已知函数,其中实数.
(1)求证:函数在处的切线恒过定点,并求出该定点的坐标;
(2)若函数有两个零点,,且,求的取值范围.
22.(本小题10分)
多样化的体育场地会为学生们提供更丰富的身体锻炼方式.现有一个标准的铅球场地,如图,若场地边界曲线分别由两段同心圆弧,和两条线段,四部分组成,在极坐标系中,,、、三点共线.,点在半径为1的圆上.
(1)分别写出组成边界曲线的两段圆弧和两条线段的极坐标方程;
(2)若需设置一个距边界曲线距离不小于1且关于极轴所在直线对称的矩形警示区域,如图,求警示区域所围的最小面积.
住:,.
23.(本小题10分)
已知函数,.
(1)当时,求不等式;
(2)对任意.关于的不等式总有解,求实数的取值范围.
高三三诊模拟考试数文科答案
一、选择题:1---5:CCDBC6---10:ADBCA11---12:AD
二、填空题:13.814.115.616.
三、解答题:
17.解:(1)因为屏幕需求尺寸在的一组人数为50人,
所以其频率为.又因为组距为0.5,所以.
又因为,所以,
即,. 6分
(2)因为屏幕需求尺寸为人数为:,
屏幕需求尺寸为人数为,
若要用分层抽样的方法抽取6人
所以要在组中抽2人,设为,;要在组中抽4人,设,,,,
因此样本空间
,,,,,,
,,,,共15个基本事件,
而这2人来自同一分组为事件,
,共7个基本事件,
所以这2人来自同一分组的概率. 12分
18.解:(1)证明:因为,且,所以,
因为,所以,所以得,则,
因为当时,,得,所以.
所以数列是首项为,公比为的等比数列. 6分
(2)由(1)知:,即.
所以. 12分
19.证明:(1),,,
由余弦定理得,解得,
所以,所以,
又因为平面平面,平面平面,
平面,所以平面,
因为平面,所以,
又因为,,平面,平面,
所以平面,因为平面,所以,
又因为,所以; 6分
(2)在中,,,,
所以,,所以,
因为,又,
解得,则,所以
12分
20.解:(1)由题意,知,解得,
所以椭圆的标准方程为. 5分
(2)①当直线的斜率存在时,设其方程为,,,
联立,得,
由韦达定理得,所以,
因为
所以,即,所以直线的方程为,
即,由,得,故直线恒过点;
②当直线的斜率不存在时,设,则,
所以,解得,
所以此时直线也过点 12分
21.解:(1)证明:因为,所以,所以,所以,又,
所以切线方程为,即,
则当时,所以切线恒过定点; 5分
(2)解:因为的定义域为,所以,
当时,恒成立,所以在上单调递增,
故不可能有两个零点,故舍去;
当时,令,解得,令,解得:,
所以在上单调递增,在上单调递减,
所以,要使有两个零点,则,解得,
又,,
所以当时,在和上各有一个零点,且,
所以,由单调性知,当时,,当时,
因为,所以,即,
所以,而,所以,
所以,令,,
则,所以在上单调递增,
所以,所以. 12分
22.解:(1)由题意,以为原点,的垂直平分线为极轴建立极坐标系,
线段:,
线段,
弧
弧; 5分
(2)解:求警示区域最小值即让内界线到距离恰好为1,设矩形长为,则(包括弧长半径、圆半径、两边距距离),
矩形宽为,则,,,
所以. 10分
23.解:(1)由已知,不等式即为,
解得:
故不等式的解集为. 5分
(2)对任意.关于的不等式总有解,
而,当且仅当,即时取得最小值.
又(当且仅当时取等号),
故只需,解得,即实数的取值范围为. 12分
四川省成都市成华区某校2024届高三下学期三诊试题 数学(文)含答案: 这是一份四川省成都市成华区某校2024届高三下学期三诊试题 数学(文)含答案,共8页。
四川省成都市成华区某校2024届高三下学期三诊试题 数学(理) 含答案: 这是一份四川省成都市成华区某校2024届高三下学期三诊试题 数学(理) 含答案,共8页。
四川省成都市成华区某校2024届高三下学期三诊试题 数学(文) PDF版含答案(可编辑): 这是一份四川省成都市成华区某校2024届高三下学期三诊试题 数学(文) PDF版含答案(可编辑),共8页。

