资料中包含下列文件,点击文件名可预览资料内容
还剩1页未读,
继续阅读
2024届东北三省高三第三次联考数学试题+答案
展开
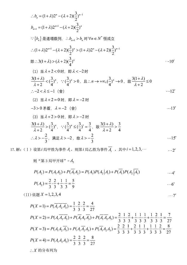
这是一份2024届东北三省高三第三次联考数学试题+答案,文件包含东北三省2024届高三第三次联合模拟考试数学试题1pdf、2024届东北三省三模答案0507pdf等2份试卷配套教学资源,其中试卷共7页, 欢迎下载使用。
相关试卷
东北三省2024届高三第三次联合模拟考试数学试题:
这是一份东北三省2024届高三第三次联合模拟考试数学试题,共2页。
东北三省2024届高三下学期联考模拟检测卷数学试题及答案:
这是一份东北三省2024届高三下学期联考模拟检测卷数学试题及答案,共10页。
2024届东北三省三校高三第一次联考数学试题+答案:
这是一份2024届东北三省三校高三第一次联考数学试题+答案,文件包含东北三省三校哈师大附中东北师大附中辽宁省实验中学2023-2024学年高三下学期第一次联合模拟考数学试卷pdf、2024年三省三校联考一模数学答案pdf等2份试卷配套教学资源,其中试卷共18页, 欢迎下载使用。

