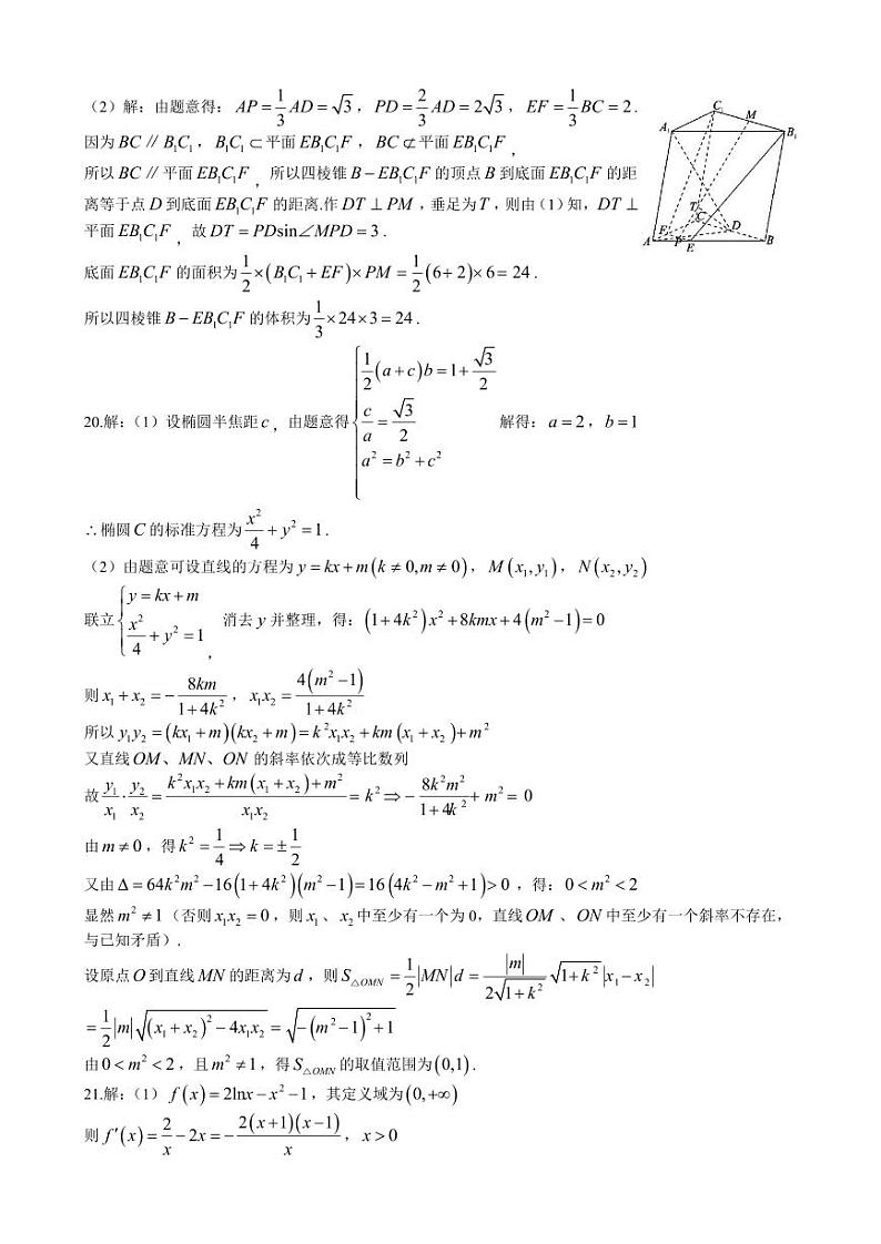
山东省德阳市高中2021级“三诊”文科数学试卷(附参考答案)
展开德阳市高中2021级“三诊”高三文科数学试题及参考答案: 这是一份德阳市高中2021级“三诊”高三文科数学试题及参考答案,文件包含德阳市高中2021级“三诊”文科数学试题pdf、德阳市高中2021级“三诊”文科数学答案pdf等2份试卷配套教学资源,其中试卷共8页, 欢迎下载使用。
德阳市高中2021级“三诊”高三理科数学试题及参考答案: 这是一份德阳市高中2021级“三诊”高三理科数学试题及参考答案,文件包含德阳市高中2021级“三诊”理科数学试题pdf、德阳市高中2021级“三诊”理科数学答案pdf等2份试卷配套教学资源,其中试卷共37页, 欢迎下载使用。
2024年泸州市高三三诊文科数学试卷和参考答案: 这是一份2024年泸州市高三三诊文科数学试卷和参考答案,共10页。

