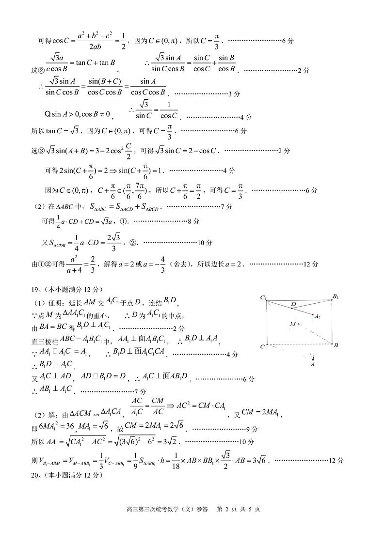
2024届四川省攀枝花市高三下学期第三次统一考试文科数学试题
展开四川省攀枝花市2024届高三第一次统一考试数学试题(文科)及参考答案: 这是一份四川省攀枝花市2024届高三第一次统一考试数学试题(文科)及参考答案,文件包含四川省攀枝花市2024届高三第一次统一考试数学试题文科pdf、四川省攀枝花市2024届高三第一次统一考试数学试题文科_参考答案pdf等2份试卷配套教学资源,其中试卷共8页, 欢迎下载使用。
2024届四川省攀枝花市高三上学期第一次统一考试理科数学试题(文科): 这是一份2024届四川省攀枝花市高三上学期第一次统一考试理科数学试题(文科),文件包含四川省攀枝花市2024届高三第一次统一考试数学试题文科pdf、四川省攀枝花市2024届高三第一次统一考试数学试题文科_参考答案pdf等2份试卷配套教学资源,其中试卷共8页, 欢迎下载使用。
2023届四川省攀枝花市高三下学期第三次统一考试文科数学试题含答案: 这是一份2023届四川省攀枝花市高三下学期第三次统一考试文科数学试题含答案,共14页。试卷主要包含了若角的终边上有一点,则,已知命题p等内容,欢迎下载使用。

