江西省上饶市2024届高三下学期第二次模拟考试英语试卷(Word版附解析)
展开听力: 1-5 CBBAC 6-10 CAABC 11-15 ABACB 16-20 BBCAC
阅读理解:21-23 ADB 24-27 CBBD 28-31ACDB 32-35 ABDA
36-40 BDEFG
完形填空:41-45 BACCD 46-50 DCBCB 51-55 ADADB
语法填空:56. with 57. cmbinatin 58. that/which/不填 59. picking 60. currently
61.aims 62. r 63. be batted 64. the 65. T win
【书面表达】在促进学生德智体美劳全面发展的情况下,我们也很需要关注学生的体育教育。本篇书面表达是关于李华要邀请国际班好友Tm一起参加学校开展主题为“快乐远足”活动。
Pssible Versin
Dear Tm,
Hpe my email finds yu well. An upcming event called “ Happy Hiking” is scheduled t be held by the Sunshine Club f ur schl , and I think yu may be willing t jin us.
The event will be held n April 24th and students attached t hiking are welcme t participate. We’ll gather at the schl gate at 9 a.m., with the activity starting at 9:10 a.m. The rute will finish at Green Farm, cvering a ttal distance f apprximately 10 kilmeters. If it appeals t yu, please remember t dress apprpriately and wear yur suitable shes. It will be gd t bring sme necessary snacks in case yu becme hungry during the hike.
Let me knw if yu can make it and it wuld be great t have yu with us. Lking frward t yur early reply.
【读后续写】读后续写讲述的是四个人在海上的漂流和奋力求生。续写第一段主要让学生发挥想象:漆黑的夜晚在大海上的孤舟可能会碰到的事情,内容要和第二段首句衔接。第二段是四人最终获救,皆大欢喜的结局。主要表达的是在逆境中永不放弃的执着精神。
Suddenly, there was a lng, lud swishing sund behind the bat and a shining trail f silvery blue. It might have been made by a huge knife. Then there was anther swish and anther lng flash f bluish light, this time alngside the bat. Crane saw a huge fin speed like a shadw thrugh the water, leaving a lng glwing trail. The thing kept swimming near the bat. He nted its speed and pwer. Crane wke up the men. They knew that nly they culd keep the bat frm sinking. And s they rwed, hur after hur, tirelessly, thrugh the night.
When day came, the fur men saw land again. They began t turn the bat tward the beach. As the bat came clser t land, the waves gt bigger and mre vilent. At last, a large wave climbed int the air and fell n the small bat with great frce.The bat turned ver as the men jumped int the sea. The water was like ice. Frtunately, the life-saving peple rescued them in time. Peple welcmed the men frm the sea t the land.
【阅读理解A篇】
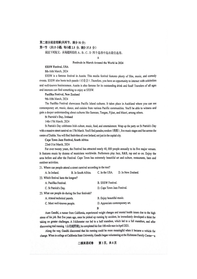
21. A 【命题意图】考查细节理解。
【解题思路】根据题目中的关键信息 a street carnival 可查找到“St Patrick's Day, Ireland”部分的“Wrap up the party n St Patrick's Day with a massive street carnival n 17th March.”。由此可知,人们在爱尔兰可以参加街头狂欢节。故选A.
22.D 【命题意图】考查推理判断。
【解题思路】根据文中每个节日的时间可以看出,Cape Twn Jazz Festival 是这四个节日中持续时间最长的(10天),其余的分别是:Pasifika Festival(2天),SXSW Festival(9天), St Patrick's Day(4天)。故选D.
23.B 【命题意图】考查推理判断。
【解题思路】根据文中每个节日的活动内容可以看出,这四个节日都提到了music,也就是说在每个节日期间,人们都可以欣赏到美妙的音乐。故选B.
【阅读理解B篇】
24.C 【命题意图】考查细节理解。
【解题思路】根据文章第一段中的“But five years ag, nce he picked up running by accident, he immediately develped a thirst fr taking n greater challenges. ”可知,Gandhi在五年前偶然开始跑步时就立即渴望接受更大的挑战。随后又从5公里跑到半程马拉松,再到全程马拉松和100英里比赛。这些表明了他对跑步充满激情。
25. B 【命题意图】考查细节理解。
【解题思路】根据文章第四段中的“The athlete uses his scial media platfrm t ask fr dnatins,and at each race, he attaches the Richstne lg t the back f his shirt t spread peple's awareness n the trails. ”以及that mney and that awareness is ging tward gdwill可知,Gandhi在社交媒体上筹款,并且在每场比赛中都把Richstne的标志贴在衣服后面以在赛道上宣传。这些行为都是Gandhi传播善意并筹款以支持慈善事业的方式。故Gandhi通过传播善意来帮助筹款。
26.B 【命题意图】考查推理判断。
【解题思路】根据文章第二段中的“Gandhi sn grew passinate abut the cause and began fundraising fr the rganizatin in cmbinatin with his races. ”以及第四段的内容可知,Gandhi是一名有奉献精神的志愿者,他对慈善事业充满热情,并通过参加比赛的方式为慈善组织筹款;根据文章最后一段中的“…he plans t cntinue upping his fundraising gals—even if that means being verly ambitius.”可知,Gandhi对下一步的筹款目标雄心勃勃。综上可知,Gandhi对自己的志愿者工作尽心尽力,十分投入。故cmmitted(投入的)这个词可以最好地描述作为志愿者的Gandhi.
27. D【命题意图】考查主旨大意。
Aum Gandhi在开始跑步后,他的生活发生了显著的转变。文章按照“开始跑步→热爱跑步→意识提升”来刻画他通过跑步完成目标转变的历程——通过跑步实现个人成长。D项“山径越野跑:通往转变之路”最能恰当地概括本文,适合作为本文标题。它突出了跑步(特别是山径越野跑)作为一种转变手段(指超越“身体健康”这个范畴)的作用,涵盖了个人发展、有目的的行动和积极的社会影响。
【阅读理解C篇】
28.A 细节理解题。第二段第一句提到,很长一段时间里,科学家们并未对睡眠这个课题产生兴趣,部分原因在于睡眠是司空见惯的事。“cmmnplace”是“the rder f the day”的同义表达,故答案为A。受最后一段倒数第二句影响,本题易误选D项,该项符合原文,但并未作为科学家没有研究睡眠的原因被提及。
29.C 细节理解题。第四段第一句提到,睡眠是一种意识低下和新陈代谢减慢的状态,它大约占据人一生的三分之一。换句话说,本文表明,人每天的睡眠时间应在八小时左右,故答案为C.
30.D 推理判断题。第五段第二句提到,大多数科普书籍很难有简便易行、有条理的结尾,这本书也不例外,由此可知,米勒的书在结尾方面同样存在这个局限;最后一段最后一句提到,对于任何想提出正确问题的人来说,米勒的书是个很好的起点,由此可知,该书是富有教益的,故答案为D.本题易误选A项,该书的好评来自本文作者,然而,作者是无法代表评论家们这个群体的。
31.B 推理判断题。本文对米勒的新书作了介绍,该书记录了睡眠领域短暂但迷人的历史。既然是新书介绍,那就应该与“文化”相关,故答案为B.
【阅读理解D篇】
32.A 细节理解题。根据文章第一段第四句可知,数字领域可能会带来比历史上任何时候都多的阅读,即数字阅读让人们开始广泛阅读,选项C意为“数字化阅读帮助年轻人利用了网络”,属于无中生有应排除,故答案为 A。
33.B 情感态度题。根据文章第二段第、三句可知,加州大学洛杉矶分校的玛丽安·沃尔夫说,在网上,我们“略读浏览、滚动(屏幕)”,媒介就是信息:在手机上进行深度阅读就像用手机打网球一样困难,即她对于数字化阅读持反对态度,她并不看好数字化阅读。C选项表示“客观的”,通常会出现在呈现正反两方面内容的文章中,应排除故答案为 B。
34.D推理判断题。根据文章第三段最后一句可知,在2021年国际学生评估项目的调查中,只有49%的学生表示“只会在必要时才进行阅读”,比2000年高了13个百分点,即学生们阅读纸质书籍的趋势逐年下滑,而选项A提到学生们应该改变他们的批判性和有意识阅读,改变的方向可以是向好的方向发展,也可以是向坏的方向发展,该选项扩大了范围,应排除,故答案为 D。
35.A 词义猜测题。根据第四段最后一句可知,越来越多的人在教育上花费的时间更长,图书销售也保持强劲,即图书的销售呈现上升的趋势,与人们在教育上的花费时长形成并列关系,而C选项只是说越来越多的人喜欢去书店,但去书店不一定是购买书籍,该选项为断章取义,应排除,故答案为 A。
【七选五】该语篇围绕孤雌生殖展开,是一篇人与自然为主题的文章。常见的繁殖是要由卵细胞和精细胞的结合,文章让我们了解了孤雌生殖的相关知识。目前,这种方式还不适应于哺乳动物。
B 根据文章开头说,通常繁殖需要雄性和雌性的结合,hwever 后面的句子表示转折的含义,文中提到的一只雌性鲨鱼生出了一只鲨鱼宝宝,可见,36空需要包含没有雄性的参与的信息,故B符合。
D 第二段的开头就说明了孤雌生殖需要精细胞和卵细胞,接下来的空就可以介绍精细胞和卵细胞的作用。故选D。
E该段介绍了孤雌繁殖的过程。在这个过程中,母体的基因会被稍稍打乱吮吸,所以会出现similar t the mther but nt a clned versin f the mther的现象。故E 符合。
F 该空为段首句,后面的内容主要围绕两个孤雌生殖的例子,说明它并不是那么稀少罕见的。故选F。
G 空白处的前面提到了lwer animals中可能会出现孤雌生殖,但后面提到目前对于哺乳动物来说还是不可能的。因此空白处需要提到但哺乳动物中不能进行的相关内容。故选G。
完形填空:本文从24节气引出了中国南方一气候现象——回南天。
48. 题选apprach (mvement nearer t sb/sth in distance r time: the apprach f spring), 春天的到来
52. 题选cycle (the fact f a series f events being repeated many times, always in the same rder: the cycle f the seasns), 考查名词辨析,尊重自然循环
两题均考查熟词生义。
【语法填空】解析:本文介绍了一项新兴运动:匹克球,讲述了它的比赛形式、受欢迎度及它未来可能的趋势。
with 本题考察句型“It's gt nthing t d with sth.”表示“这与无关。”
cmbinatin 本题考察词性转化,根据“as a ... f”结构应填名词,即动词转化为名词。
that/which/不填 本题考察定语从句,先行词为a small plastic ball,指物,在从句中作bat的宾语,即填that/which。
picking 本题考察并列谓语,此句中由and 连接are listening 和picking 两谓语。
currently本题考察词性转化,用副词修饰整个句子。
aims 本题考察长难句分析,aim作谓语,根据句意用一般现在时表将来。
r 本题考察选择连词,根据后文singles r dubles的提示可知。
be batted 本题考察情态动词的被动语态。
the 本题考察固定搭配“n the first...”意为“在最开始的”
65. T win本题考察不定式作目的状语。
听力原文
Text 1
M: Hney, are yu ging n a picnic with the kids this weekend?
W: I'd intended t, (1)but ne f my frmer classmates invited me t attend her wedding ceremny.
M: Well, I will g with the kids. I dn't want t let them dwn.
Text 2
M: Mary, I'm busy preparing meeting materials. (2)I was wndering if yu culd help me translate this file.
W: Is that urgent? I need t submit my paper later.
M: Yes. In that case, I'll ask smene else fr help.
Text 3
W: (3)My meeting starts at 10: 00 a. m. It will last ne hur and a half, s I can meet yu after that utside the meeting rm.
M: OK, but hurry, because I have a lunch appintment with Bb at half past twelve. I can't be late.
Text 4
W: Mr. Smith, I'm srry t say that (4) I can't cntinue with this jb.
M: What's wrng? I can give yu five mre days f annual leave.
W: It's nt that. I am in bad shape, and the dctr suggested that I rest fr a perid f time.
Text 5
W:(5)My dream is t g t the University f Oxfrd fr pstgraduate study.
M: My sister wh is my idl is a teacher in that university. I went there n my trip t England last year. I really want t be what she is nw.
W: Really? That's s cl. Let's take actin nw.
Text 6
M:Hell Camille, what’s that yu are reading?
W: It is called The Wman in White written by Wilkie Cllins.
M: Oh, (6)is it inspired by an actual criminal case like his The Mnstne?
W: Well, (6)srt f, but in this nvel, the persn wh investigates is nt a pliceman like Sergeant Cuff. It is an ld teacher.
M: Sunds exciting. Can I brrw it after yu finish it?
W: Sure, it may take me a while thugh, (7) because it is in a French versin, and I have t read slwly.
Text 7
W: Dear, have yu bught the drinks fr the children?
M: (8)I'm ging t the pst ffice later. I'll g t the supermarket n the way hme and get sme. I dn't think we need anything else, d we?
W: Well, I'm nt sure whether we have enugh fd. Yu knw,my cusins always eat everything when they cme rund.
M: That's OK. I think we've gt everything we need.
W: Gd! (9)If yu culd get started with the husewrk nw, I'll get started with the cking. I dn't want t leave everything until the last minute.
M: Well, there isn't much t d, actually. I cleaned and tidied the living rm this mrning, h, and (10) remember yu'll have t cllect my mm frm the train statin tmrrw. My car's in the garage.
W: Dn't wrry. I haven't frgtten.
Text 8
M: I can’t believe we spent s much last mnth, Rita!
W: Did we? Hw much mre did we spend than the mnth befre last?
M: It was abut $1,100.
W: That’s a lt! What did we pay fr?
M: (11)The largest amunt went t the repair f the heating system f the huse. It was $895.
W: What abut the ther $200?
M: Here’s the bank statement. Just lk at it yurself.
W:(12) I wrte a check fr $149 fr tw pairs f shes n the 8th f the mnth and $49 fr my new dress n the 19th. That’s right.
M: (13) Rita, my dear, we have t tighten ur budget fr things we dn’t need immediately.
W: Yu mean I shuldn’t have bught the shes and the dress? (13)Oh, hney, I’d been windw shpping fr them fr quite a while. They were real gd bargains, yu knw.
Text 9
M: We’re talking t businesswman Carla Smith, wh’s made sme changes t the way she lives her life. Carla, the first thing yu did was t change the way yu wrked. Why?
W: My jb was interesting, s I never gt stressed r needed time ff like sme f my clleagues, wh became ill. I travelled all ver the wrld. (14)Then, suddenly I realized I was living in htels and I thught “Yu knw what? I’d like t spend mre time in my wn huse!”
M: D yu d mre exercise nw?
W: I spend abut the same amunt f time exercising as I did befre. (15)Hwever, instead f ding it between wrk and dinner, I get up at 5 am and exercise then.
M: D yu spend mre time with family nw?
W: Yes, particularly my sisters. We used t g t the cinema every week. That isn’t always pssible nw, s we have film nights at my huse instead. There’s an utdr pl in twn and yu can swim and watch films there — we’re ging t try that sn.
M: D yu have any time-saving advice?
W: There are things peple d like checking emails r messages n the bus t wrk r schl and making a list f things t d the next day. (16) But the thing that wrks well fr me is having lts f clthes which are the same, s yu dn’t have t think abut what t put n in the mrning!
Text 10
W: (20)Nw I'd like t intrduce the leading members in the sccer club fr this seasn. First, let me welcme (17)Rbert, the new president. He will hld all the meetings fr the next tw years. Rbert's sn has been playing ftball with the club fr ver five years nw. Next, we have Gina, she's the accuntant, and she will cllect the fees frm yu fr the seasn. Please try t give Gina yur fees as early as pssible in the seasn, (18) as the club needs the mney t buy sme new equipment. Als I'd like t intrduce Jasn, wh is the head cach. Fr all the new members here tnight, (19) this is the third year that Jasn has been with us as the head cach, and we are very lucky t have such an experienced cach at ur club. He will cntinue t lead the teams fr training terms and match days. If yu want t knw the details abut yur training, yu can ask him after the meeting.
江西省萍乡市2024届高三下学期第二次模拟考试英语试题(Word版附解析): 这是一份江西省萍乡市2024届高三下学期第二次模拟考试英语试题(Word版附解析),共13页。
江西省上饶市2024届高三下学期第一次高考模拟考试英语试卷(Word版附解析): 这是一份江西省上饶市2024届高三下学期第一次高考模拟考试英语试卷(Word版附解析),文件包含2024届江西省上饶市高三下学期第一次高考模拟考试英语试卷docx、2024届江西省上饶市高三下学期第一次高考模拟考试英语试卷答案docx、听力音频mp3等3份试卷配套教学资源,其中试卷共21页, 欢迎下载使用。
江西省2024届上饶市高三下学期第一次高考模拟考试英语试卷(Word版附解析): 这是一份江西省2024届上饶市高三下学期第一次高考模拟考试英语试卷(Word版附解析),文件包含江西省上饶市2024届高三下学期第一次高考模拟考试英语试卷docx、一模英语科参考答案pdf、听力音频mp3等3份试卷配套教学资源,其中试卷共14页, 欢迎下载使用。

