陕西省渭南市2024届高三下学期教学质量检测(Ⅱ)数学(文科)
展开注意事项:
1.本试题满分150分,考试时间120分钟。
2.答卷前务必将自己的姓名、学校、班级、准考证号填写在答题卡和答题纸上。
3.将选择题答案填涂在答题卡上,非选择题按照题号完成在答题纸上的指定区域内。
第I卷 选择题(共60分)
一、选择题:本大题共12小题,每小题5分,共60分。在每小题给出的四个选项中,只有一项是符合题目要求的。
1.已知复数(i是虚数单位),则下列说法正确的是( )
A.复数z的实部为5 B.复数z的虚部为
C.复数z的共轭复数为 D.复数z的模为13
2.设全集,集合,则( )
A. B.{或} C. D.
3.北宋数学家沈括的主要数学成就之一为隙积术,所谓隙积,即“积之有隙”者,如累棋、层坛之类,这种长方台形状的物体垛积.设隙积共n层,上底由个物体组成,以下各层的长、宽依次各增加一个物体,最下层(即下底)由个物体组成,沈括给出求隙积中物体总数的公式为.已知由若干个相同小球粘黏组成的几何体垛积的三视图如图所示,则该垛积中所有小球的个数为( )
正视图 侧视图 俯视图
A.85 B.84 C.86 D.83
4.已知平面向量,其中,若,则( )
A. B.或 C. D.或
5.设为两个平面,则的充要条件是( )
A.内有无数条直线与平行 B.内有两条相交直线与平行
C.平行于同一条直线 D.垂直于同一平面
6.在正四面体的棱中任取两条棱,则这两条棱所在的直线互相垂直的概率是( )
A. B. C. D.
7.已知函数,若存在m使得关于x的方程有两个不同的根,则实数t的取值范围为( )
A. B. C. D.
8.设等差数列的前n项和分别为,若对任意正整数n都有,则( )
A. B. C. D.均不是
9.函数的图象是( )
A. B. C. D.
10.己知定义在R上的函数满足,当时,,则( )
A. B. C. D.
11.已知双曲线,抛物线的焦点为F,准线为l,抛物线E与双曲线C的一条渐近线的交点为P,且P在第一象限,过P作l的垂线,垂足为Q,若直线QF的倾斜角为,则双曲线C的离心率为( )
A. B. C. D.2
12.已知正数a,b满足,则( )
A. B. C.1 D.
第Ⅱ卷 非选择题(共90分)
二、填空题:本题共4小题,每小题5分,共20分。
13.若实数x,y满足约束条件,则的最小值是__________.
14.__________.
15.2024年1月九省联考的数学试卷出现新结构,其中多选题计分标准如下:①本题共3小题,每小题6分,满分18分;②每道小题的四个选项中有两个或三个正确选项,全部选对得6分,有选错的得0分;③部分选对得部分分(若某小题正确选项为两个,漏选一个正确选项得3分;若某小题正确选项为三个,漏选一个正确选项得4分,漏选两个正确选项得2分)·已知在某次新结构数学试题的考试中,小明同学三个多选题中第一小题确定得满分,第二小题随机地选了两个选项,第三小题随机地选了一个选项,则小明同学多选题所有可能总得分(相同总分只记录一次)的中位数为__________.
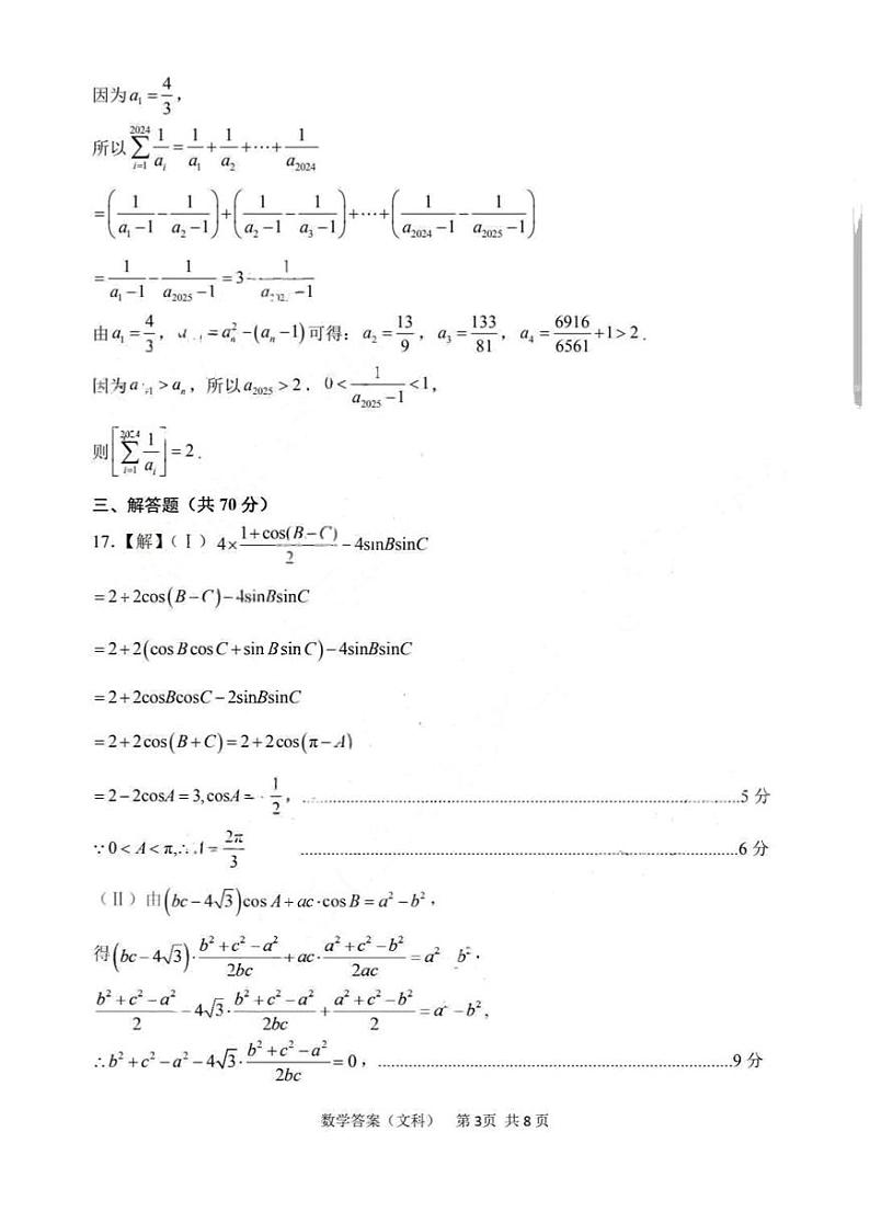
16.用表示不超过x的最大整数,已知数列满足:.若,则__________;若,则__________.
三、解答题:共70分。解答应写出文字说明、证明过程或演算步骤第17~21题为必考题,每个试题考生都必须作答第22、23题为选考题,考生根据要求作答。
(一)必考题:共60分。
17.(本小题满分12分)在中,内角A,B,C的对边分别为a,b,c,已知.
(I)求A;
(Ⅱ)若(,求面积.
18.(本小题满分12分)手机完全充满电量,在开机不使用的状态下,电池靠自身消耗一直到出现低电量警告之间所能维持的时间称为手机的待机时间.
为了解A,B两个不同型号手机的待机时间,现从某卖场库存手机中随机抽取A,B两个型号的手机各5台,在相同条件下进行测试,统计结果如下:
己知A,B两个型号被测试手机待机时间的平均值相等.
(I)求a的值;
(Ⅱ)求A型号被测试手机待机时间的方差和标准差的大小;
(Ⅲ)从被测试的手机中随机抽取A,B型号手机各1台,求至少有1台的待机时间超过122小时的概率.
(注:n个数据的方差,其中元为数据x,2,xn的平均数)
19.(本小题满分12分)如图所示,在直三棱柱中,平面平面,且.
(I)求证:平面;
(Ⅱ)若三棱锥外接球的体积为,求四棱锥的体积.
20.(本小题满分12分)已知函数.
(I)求的单调区间;
(Ⅱ)当时,证明:.
21.(本小题满分12分)已知椭圆的左,右焦点分别为,Q为E短轴的一个端点,若是等边三角形,点在椭圆E上,过点作互相垂直且与x轴不重合的两直线AB,CD分别交椭圆E于A,B,C,D,且M,N分别是弦AB,CD的中点.
(I)求椭圆E的方程;
(II)求证:直线MN过定点;
(III)求面积的最大值.
(二)选考题:共10分。请考生在第22、23题中任选一题作答。如果多做,则按所做的第一题计分。
22.[选修4-4:坐标系与参数方程](本小题满分10分)
已知在平面直角坐标系中,以坐标原点O为极点,x轴的非负半轴为极轴建立极坐标系,曲线的极坐标方程为;在平面直角坐标系中,曲线的参数方程为(为参数),点A的极坐标为且点A在曲线上.
(I)求曲线的普通方程以及曲线的极坐标方程;
(II)已知直线与曲线分别交于P,Q两点,其中P,Q异于原点O,求的面积.
23.[选修4-5:不等式选讲](本小题满分10分)
已知函数.
(I)当时,求不等式的解集;
(Ⅱ)当时,函数的最小值为m,若a,b,c均为正数,且,求的最大值.手机编号
1
2
3
4
5
A型待机时间(h)
120
125
122
124
124
B型待机时间(h)
118
123
127
120
a
陕西省渭南市2024届高三下学期教学质量检测(Ⅱ)数学(文科): 这是一份陕西省渭南市2024届高三下学期教学质量检测(Ⅱ)数学(文科),文件包含陕西省渭南市2024届高三下学期教学质量检测Ⅱ数学文科试题无答案pdf、文数答案pdf等2份试卷配套教学资源,其中试卷共13页, 欢迎下载使用。
陕西省渭南市2024届高三下学期教学质量检测(Ⅱ)数学(文科): 这是一份陕西省渭南市2024届高三下学期教学质量检测(Ⅱ)数学(文科),文件包含陕西省渭南市2024届高三下学期教学质量检测Ⅱ数学文科试题无答案docx、文数答案pdf等2份试卷配套教学资源,其中试卷共13页, 欢迎下载使用。
陕西省渭南市2024届高三教学质量检测(一)(渭南一模)文科数学: 这是一份陕西省渭南市2024届高三教学质量检测(一)(渭南一模)文科数学,共5页。试卷主要包含了在中,,则的取值范围是,已知是正数,“”是“”的,的值是,有诗云等内容,欢迎下载使用。

