还剩9页未读,
继续阅读
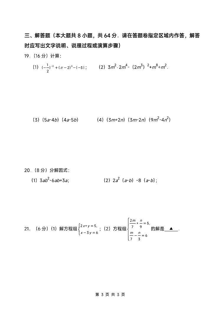
2021-2022学年南外七下数学期中试卷(含答案)
展开
这是一份2021-2022学年南外七下数学期中试卷(含答案),共12页。
相关试卷
2020-2021学年南外河西、河外、新城南七下数学期中试卷(含答案):
这是一份2020-2021学年南外河西、河外、新城南七下数学期中试卷(含答案),共9页。
2020-2021学年郑外七下数学期中试卷(含答案):
这是一份2020-2021学年郑外七下数学期中试卷(含答案),共8页。
2021-2022学年秦外七下数学3月月考试卷(含答案):
这是一份2021-2022学年秦外七下数学3月月考试卷(含答案),共10页。

