最新中考数学必考考点总结+题型专训 专题04 分式的运算与化简求值篇 (全国通用)
展开一、复习方法
1.以专题复习为主。
2.重视方法思维的训练。
3.拓宽思维的广度,培养多角度、多维度思考问题的习惯。
二、复习难点
1.专题的选择要准,安排时间要合理。
2.专项复习要以题带知识。
3.在复习的过程中要兼顾基础,在此基础上适当增加变式和难度,提高能力。
专题04 分式的运算与化简求值
知识回顾
因式分解的方法:
①提公因式法:;
②公式法:平方差公式:;完全平方公式:。
③十字相乘法:在中,若,则:
。
分式的性质:
分式的分子与分母同时乘上或除以同一个不为0的数或式子,分式的值不变。
约分与通分:
①约分:将分式中能进行分解因式的分子分母分解因式,约掉公因式。公因式等于系数的最大公约数乘上相同字母或式子的最低次幂。
②通分:将几个异分母的分式化成同分母的分式的过程。公分母等于系数的最小公倍数乘上所有式子的最高次幂。
分式的乘除运算:
①乘法运算步骤: = 1 \* ROMAN \* MERGEFORMAT I:对分子分母因式分解;
= 2 \* ROMAN \* MERGEFORMAT II:约掉公因式;
= 3 \* ROMAN \* MERGEFORMAT III:分子乘以分子得到积的分子,分母乘以分母得到积的分母。
②除法运算法则:除以一个分式等于乘上这个分式的倒数式。
分式的加减运算:
具体步骤: = 1 \* ROMAN \* MERGEFORMAT I:对能分解的分母进行因式分解,并求出公分母;
= 2 \* ROMAN \* MERGEFORMAT II:将分式通分成同分母;
= 3 \* ROMAN \* MERGEFORMAT III:分母不变,分子相加减。
分式的化简求值:将分式按照加减乘除的运算法则化简至最简分式,然后带入已知数据求值即可。
专题练习
46.(2022•西藏)计算:.
【分析】分式的混合运算,要注意运算顺序,式与数有相同的混合运算顺序;先乘方,再乘除,然后加减,有括号的先算括号里面的.
【解答】解:原式=•﹣
=﹣
=1.
47.(2022•兰州)计算:.
【分析】根据分式的加减运算以及乘除运算法则即可求出答案.
【解答】解:原式=
=
=.
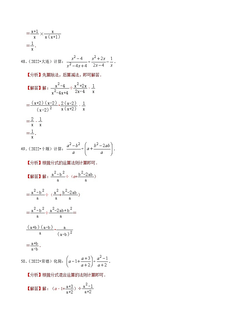
48.(2022•大连)计算:.
【分析】先算除法,后算减法,即可解答.
【解答】解:÷﹣
=•﹣
=﹣
=.
49.(2022•十堰)计算:.
【分析】根据分式的运算法则计算即可.
【解答】解:÷(a+)
=÷(+)
=÷=
•
=.
50.(2022•常德)化简:.
【分析】根据分式混合运算的法则计算即可.
【解答】解:(a﹣1+)÷
=[+]•
=•
=.
51.(2022•内蒙古)先化简,再求值:,其中x=3.
【分析】先通分算括号内的,把除化为乘,化简后将x=3代入计算即可.
【解答】解:原式=•
=﹣•
=﹣,
当x=3时,
原式=﹣
=﹣5.
52.(2022•阜新)先化简,再求值:,其中a=4.
【分析】根据分式的混合运算法则把原式化简,把a的值代入计算即可.
【解答】解:原式=÷(﹣)
=÷
=•
=,
当a=4时,原式==.
53.(2022•资阳)先化简,再求值.,其中a=﹣3.
【分析】根据分式的加减运算以及乘除运算法则进行化简,然后将a的值代入原式即可求出答案.
【解答】解:原式=
=
=,
当a=﹣3时,
原式=.
54.(2022•黄石)先化简,再求值:,从﹣3,﹣1,2中选择合适的a的值代入求值.
【分析】根据分式的加减运算以及乘除运算法则进行化简,然后将a的值代入原式即可求出答案.
【解答】解:原式=÷
=•
=,
由分式有意义的条件可知:a不能取﹣1,﹣3,
故a=2,
原式=
=.
55.(2022•朝阳)先化简,再求值:,其中x=()﹣2.
【分析】把除化为乘,再算同分母的分式相加,化简后求出x的值,代入即可.
【解答】解:原式=•+
=+
=
=
=x,
∵x=()﹣2=4,
∴原式=4.
56.(2022•锦州)先化简,再求值:,其中.
【分析】先对分式进行化简,然后再代入求解即可.
【解答】解:原式=
=
=
=,
当时,
原式=.
57.(2022•盘锦)先化简,再求值:,其中.
【分析】根据分式的运算法则“除以一个数等于乘以它的倒数”把除法改写成乘法;利用平方差公式和完全平方公式将分式的分子分母分别因式分解;约分化简后,求x的值;去掉绝对值符号时注意正负,正数的绝对值是它本身,负数的绝对值是它的相反数,最后将x的值代入原式.
【解答】解:原式=
=
=
=,
∵=,
∴原式===
58.(2022•郴州)先化简,再求值:,其中a=+1,b=﹣1.
【分析】先算括号里,再算括号外,然后把a,b的值代入化简后的式子进行计算即可解答.
【解答】解:÷(+)
=÷
=•
=ab,
当a=+1,b=﹣1时,原式=(+1)(﹣1)
=5﹣1
=4.
59.(2022•营口)先化简,再求值:,其中a=+|﹣2|﹣()﹣1.
【分析】先把括号内通分,再把除法运算化为乘法运算,接着把分子分母因式分解,则约分得到原式=,然后根据算术平方根的定义、绝对值和负整数指数幂的意义计算出a的值,最后把a的值代入计算即可.
【解答】解:原式=•
=•
=•
=•
=,
∵a=+|﹣2|﹣()﹣1=3+2﹣2=3,
∴原式==.
60.(2022•绵阳)(1)计算:2tan60°+|﹣2|+()﹣1﹣;
(2)先化简,再求值:,其中x=1,y=100.
【分析】(1)先算负整数指数幂、化简二次根式,再化简绝对值代入特殊角的函数值,最后算加减.
(2)按分式的运算法则先化简分式,再代入求值.
【解答】解:(1)原式=2×+2﹣+2022﹣
=2+2﹣+2022﹣
=2024;
(2)原式=[﹣]÷
=×
=×
=×
=.
当x=1,y=100时.
原式=100.
最新中考数学必考考点总结+题型专训 专题08 —不等式与不等式组篇 (全国通用): 这是一份最新中考数学必考考点总结+题型专训 专题08 —不等式与不等式组篇 (全国通用),文件包含专题08不等式与不等式组篇原卷版docx、专题08不等式与不等式组篇解析版docx等2份试卷配套教学资源,其中试卷共30页, 欢迎下载使用。
最新中考数学必考考点总结+题型专训 专题07 一元一次方程篇 (全国通用): 这是一份最新中考数学必考考点总结+题型专训 专题07 一元一次方程篇 (全国通用),文件包含专题07一元一次方程篇原卷版docx、专题07一元一次方程篇解析版docx等2份试卷配套教学资源,其中试卷共25页, 欢迎下载使用。
最新中考数学必考考点总结+题型专训 专题07 锐角三角函数综合篇 (全国通用): 这是一份最新中考数学必考考点总结+题型专训 专题07 锐角三角函数综合篇 (全国通用),文件包含专题07锐角三角函数综合篇原卷版docx、专题07锐角三角函数综合篇解析版docx等2份试卷配套教学资源,其中试卷共34页, 欢迎下载使用。

