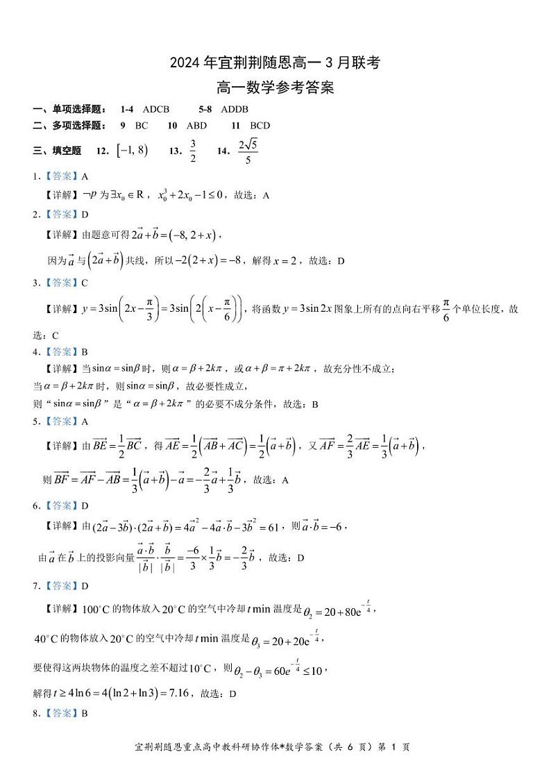
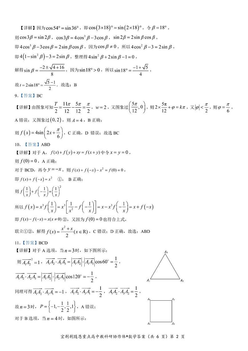
湖北宜荆荆随恩2024年高一下学期3月联考数学试题+答案
展开宜荆荆随恩2024年高二下学期3月联考数学试题+答案: 这是一份宜荆荆随恩2024年高二下学期3月联考数学试题+答案,文件包含宜荆荆随恩2023-2024学年高二下学期3月联考数学试题pdf、2024年宜荆荆随恩高二3月联考高二数学答案pdf等2份试卷配套教学资源,其中试卷共6页, 欢迎下载使用。
宜荆荆随恩2023-2024学年高二下学期3月联考数学试题(附参考答案): 这是一份宜荆荆随恩2023-2024学年高二下学期3月联考数学试题(附参考答案),文件包含宜荆荆随恩2023-2024学年高二下学期3月联考数学试题pdf、2024年宜荆荆随恩高二3月联考高二数学答案pdf等2份试卷配套教学资源,其中试卷共6页, 欢迎下载使用。
湖北省宜荆荆随恩2023-2024学年高三上学期1月联考数学试卷(含答案): 这是一份湖北省宜荆荆随恩2023-2024学年高三上学期1月联考数学试卷(含答案),共14页。

