2024届重庆市(康德卷)普通高等学校招生全国统一考试高考模拟调研卷(三)数学试题
展开数学测试卷共4页,满分150分。考试时间120分钟。
注意事项:
1.答题前,考生务必将自己的准考证号、姓名填写在答题卡上。考生要认真核对答题卡上粘贴的条形码的“准考证号、 姓名、 考试科目”与考生本人准考证号、 姓名是否一致。
2. 回答选择题时,选出每小题答案后,用 2B 铅笔把答题卡上对应题目的答案标号涂黑,如需改动,用橡皮擦干净后,再选涂其他答案标号。 回答非选择题时,用 0.5 毫米的黑色墨水签字笔在答题卡上书写作答。 若在试题卷上作答,答案无效。
3. 考试结束,考生必须将试题卷和答题卡一并交回。
一、选择题:本题共8小题,每小题5分,共40分。在每小题给出的四个选项中,只有一项是符合题目要求的。
1. 已知集合 ,则
A B. C. D.
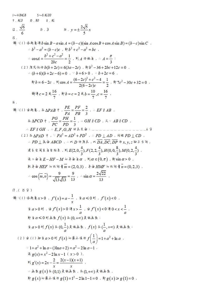
2.若复数 则
A. 0 B. 1 C.-i D. i
3. 设 ,若向量 满足 且 , 则
A. B. C. D.
4. 若函数 在 单调递增,则实数 的取值范围是
A B. C. D.
5.若椭圆X: 与双曲线H: 的离心率之和为 则
A. 2 B. C. D.1
6. 设圆和不过第三象限的直线 ,若圆 上恰有三点到直线 的距离均为3,则实数
A. 2 B. 4 C.26 D.41
激富日一日
7.设 且 ,命题甲: 为等比数列;命题乙:;则命题甲是命题乙的
A. 充分且不必要条件 B. 必要且不充分条件
C. 充要条件 D. 既不充分也不必要条件
8. 若 则
A. B. C. D.
二、选择题:本题共3小题,每小题6分,共18分。 在每小题给出的选项中, 有多项符合题目要求。 全部选对得6分, 部分选对得部分分,有选错得0分。
9. 若成等差数列(公差不为零) 的一组样本数据 的平均数为 , 标准差为 , 中位数为 ;数据 的平均数为,标准差为 , 中位数为 , 则
A. B. C. D.
10. 放射性物质在衰变中产生辐射污染逐步引起了人们的关注, 已知放射性物质数量随时间 的衰变公式 ,表示物质的初始数量, 是一个具有时间量纲的数. 研究放射性物质常用到半衰期,半衰期 指的是放射性物质数量从初始数量到衰变成一半所需的时间.已知 ,右表给出了铀的三种同位素τ的取值:若铀 234、铀235 和铀 238 的平衰期分别为 , 则
A. B. 成正比例关系
C. D.
11.在平行六面体 中, 已知 , 若 , ,则
A. 的最小值为 B. 的最大值为
C. 的最大值为 D. 的最大值为
三、填空题:本题共3小题,每小题5分,共15分。
12.已知正四棱锥 的底面边长为2,过棱 作平行于底面的截面, 若截面边长为1. 则截得的四棱锥 的体积为 .
13. 若 . 则关于 的方程 的解的个数是 .
14 . 已知点,是双曲线 的左、 右焦点. 点 在 的右支上,连接. 作 且与 轴交于点 , 若 则 的渐近线方程为 .
四、解答题:本题共5小题,共 77分。解答应写出文字说明、证明过程或演算步骤。
15. (13分)
在 中, 角 对应的边长为 且
(1) 求角 ;
(2)若
16.(15分)
如图, 在四棱锥 中, 底面 是边长为3的正方形, 点 分别在侧棱
(1) 证明: 四点共面;
(2) 如果 的中点, 求二面角 的正弦值.
17.(15 分)
已知函数
(1) 讨论函数 的单调性;
(2) 证明: 当
18. (17分)
设动点每次沿数轴的正方向移动,且第 次移动1个单位的概率为 ,移动2个单位的概率为 已知an表示动点 在数轴上第 次移动后表示的数,在第一次移动前动点 在数轴的原点处.
(1) 若 , 求 的概率;
(2)若每次移动2个单位的概率都是移动1个单位的概率的2倍.
(ⅰ) 求 的概率;
(ⅱ)求动点 能移动到自然数 处的概率.
19. (17分)
在平面直角坐标系 中,动点 到点(4,0) 的距离是点 到直线 的距离的2倍,记动点 的轨迹为 .
(1) 求 的方程;
(2) 若直线 分别与 第一象限的 交于点 过 作斜率为 的直线 且分别与 交于点 若 的面积分别为 证明:
物质
τ的量纲单位
τ的值
铀 234
万年
35.58
铀235
亿年
10.2
铀238
亿年
64.75
重庆市康德卷2024年普通高等学校招生全国统一考试高考模拟调研卷(四)数学试题: 这是一份重庆市康德卷2024年普通高等学校招生全国统一考试高考模拟调研卷(四)数学试题,文件包含数学4答案docx、2024年重庆市普通高中学业水平选择性考试高考模拟调研卷数学四pdf等2份试卷配套教学资源,其中试卷共8页, 欢迎下载使用。
重庆市康德卷2024年普通高等学校招生全国统一考试高考模拟调研卷(三)数学试题: 这是一份重庆市康德卷2024年普通高等学校招生全国统一考试高考模拟调研卷(三)数学试题,文件包含重庆市康德卷2024年普通高等学校招生全国统一考试高考模拟调研卷三数学试题docx、数学答案pdf等2份试卷配套教学资源,其中试卷共6页, 欢迎下载使用。
重庆市康德卷2024年普通高等学校招生全国统一考试高考模拟调研卷(三)数学试题: 这是一份重庆市康德卷2024年普通高等学校招生全国统一考试高考模拟调研卷(三)数学试题,共4页。试卷主要包含了若椭圆X,设 且 ,命题甲, 若 则等内容,欢迎下载使用。

