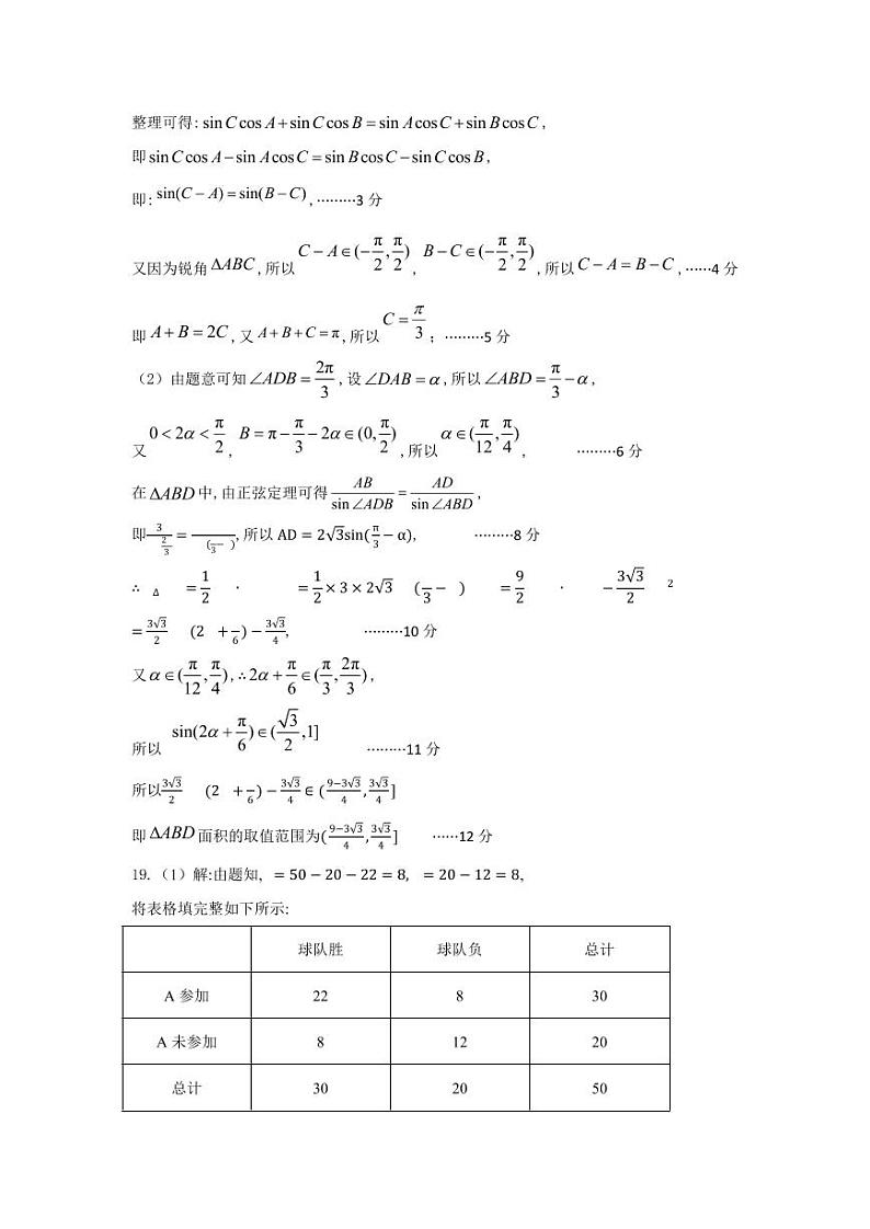
山西省吕梁市2022-2023学年度高三年级上学期期末考试数学试题及答案
展开2022-2023学年山西省吕梁市高二下学期期末数学试题含答案: 这是一份2022-2023学年山西省吕梁市高二下学期期末数学试题含答案,共18页。试卷主要包含了单选题,多选题,填空题,解答题等内容,欢迎下载使用。
山西省吕梁市孝义市2022-2023学年高二上学期期中数学试题(含答案): 这是一份山西省吕梁市孝义市2022-2023学年高二上学期期中数学试题(含答案),共15页。试卷主要包含了本卷主要考查内容,直线,是分别经过A,已知过抛物线C,过圆上的动点作圆C,已知双曲线,已知复数,则等内容,欢迎下载使用。
山西省吕梁市2022届高三三模文科数学试题-: 这是一份山西省吕梁市2022届高三三模文科数学试题-,共17页。试卷主要包含了请将答案正确填写在答题卡上,已知向量,且,则实数,若,则,已知,则,已知实数满足,则的最小值为等内容,欢迎下载使用。

