2024九江十校高三第二次联考试题数学PDF版含解析
展开江西省九江市十校2023-2024学年高三第二次联考数学试卷(PDF版附解析): 这是一份江西省九江市十校2023-2024学年高三第二次联考数学试卷(PDF版附解析),文件包含江西省九江市十校2023-2024学年高三第二次联考数学答案pdf、江西省九江市十校2023-2024学年高三第二次联考数学pdf等2份试卷配套教学资源,其中试卷共10页, 欢迎下载使用。
江西省九江市十校2023-2024学年高三第二次联考数学试题+: 这是一份江西省九江市十校2023-2024学年高三第二次联考数学试题+,共10页。
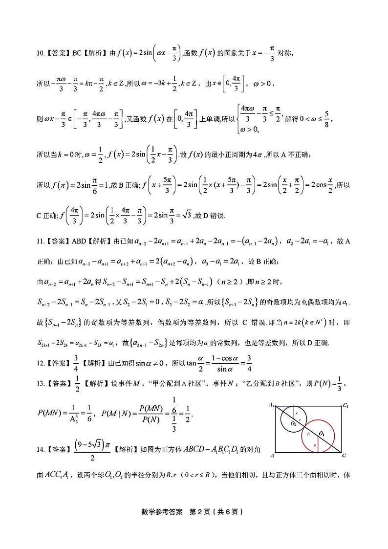
2024届江西九江市十校高三第二次联考数学试题+: 这是一份2024届江西九江市十校高三第二次联考数学试题+,共10页。

