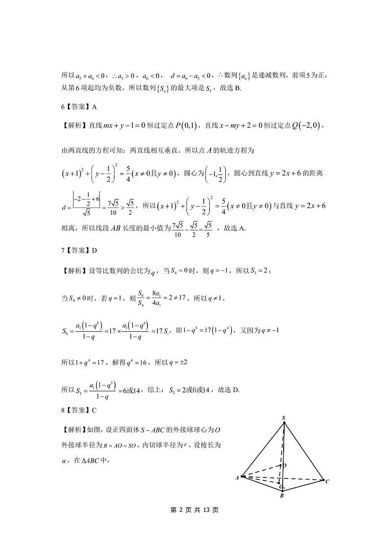
重庆巴蜀中学校2023-2024学年高二上学期期末考试数学试题(附答案解析)
展开重庆巴蜀中学校2023-2024学年高二上学期期末考试数学试题(含答案): 这是一份重庆巴蜀中学校2023-2024学年高二上学期期末考试数学试题(含答案),共17页。
重庆市巴蜀中学校2023-2024学年高二上学期期末考试数学试题及参考答案: 这是一份重庆市巴蜀中学校2023-2024学年高二上学期期末考试数学试题及参考答案,文件包含高二数学参考答案定稿pdf、期末数学pdf等2份试卷配套教学资源,其中试卷共17页, 欢迎下载使用。
重庆市渝中区巴蜀中学2023-2024学年高二上学期期末数学试题(Word版附解析): 这是一份重庆市渝中区巴蜀中学2023-2024学年高二上学期期末数学试题(Word版附解析),共23页。

