湖北省武汉外国语学校2023-2024学年高二上学期期末考试数学试题(Word版附答案)
展开一、单选题:本题共8小题,每小题5分,共40分.在每小题给出的四个选项中,只有一项是符合题目要求的.
1.已知,,则
A.B.C.D.
2.函数定义在上的可导函数,若,则
A.2B.3C.D.
3.函数的定义域为,数列满足,则“函数为减函数”是“数列为递减数列”的
A.充分不必要条件 B.必要不充分条件 C.充分必要条件 D.既不充分也不必要条件
4.已知椭圆的离心率为,则
A.B.C.D.1
5.张老师不仅喜欢打羽毛球,还喜欢玩折纸游戏,他将一张画了直角坐标系(两坐标轴单位长度相同)的纸折叠一次,使点与点重合,点与点重合,则
A.B.C.D.
6.已知等差数列公差不为零,为其前项和,若,下列说法正确的是
A. B.C.成等比数列
D.中数值不同的有995个
7.已知,函数.若依次成等比数列,则平面上的点的轨迹是
A.直线和焦点在轴的椭圆B.直线和焦点在轴的椭圆
C.直线和焦点在轴的双曲线D.直线和焦点在轴的双曲线
8.斜率为的直线经过双曲线的左焦点,交双曲线两条渐近线于两点,为双曲线的右焦点且,则双曲线的离心率为
A. B.2 C. D.
二、多选题:本题共4小题,每小题5分,共20分.在每小题给出的四个选项中,有多项符合题目要求.全部选对的得5分,部分选对的得2分,有选错的得0分.
9.已知等差数列的前项和为,公差为,且,则下列说法正确的是
A. B. C.当时,取得最小值 D.
10.设点,若直线关于对称的直线与圆没有公共点,则的值可以为
A.0 B. C. D.
11.已知抛物线焦点为,经过点的直线与交于两点,且抛物线在两点处的切线交于点,为中点,则
A.抛物线方程为
B.点在直线上
C.轴
D.
12.已知正方体的棱长为2,M是棱的中点.P是正方体表面上的动点(如图),则下列说法正确的是
A.若平面,则动点P的轨迹长度为
B.若,则动点P的轨迹长度为
C.若,则动点P的轨迹为双曲线的一部分
D.以的一边所在直线为旋转轴,其余两边旋转一周,在旋转过程中,三棱锥体积的取值范围为
三、填空题:本题共4小题,每小题5分,共20分.
13.已知函数,则函数在处的切线方程为 .
14.已知动点到定点的距离和它到定直线的距离之比为,则的轨迹方程为____________.
15.已知数列中,,,,则____________.
16.已知圆的方程为,是圆上一点,过点作圆的两条切线,切点分别为,则的范围为_____________.
四、解答题:本题共6小题,共70分.解答题应写出文字说明、证明过程或演算步骤.
17.(10分)已知等比数列满足:,成等差数列.
(1)求数列的通项公式;
(2)已知数列,求数列的前项和.
18.(12分)在锐角中,内角所对边分别为,.
(1)求角;
(2)若,求面积的取值范围.
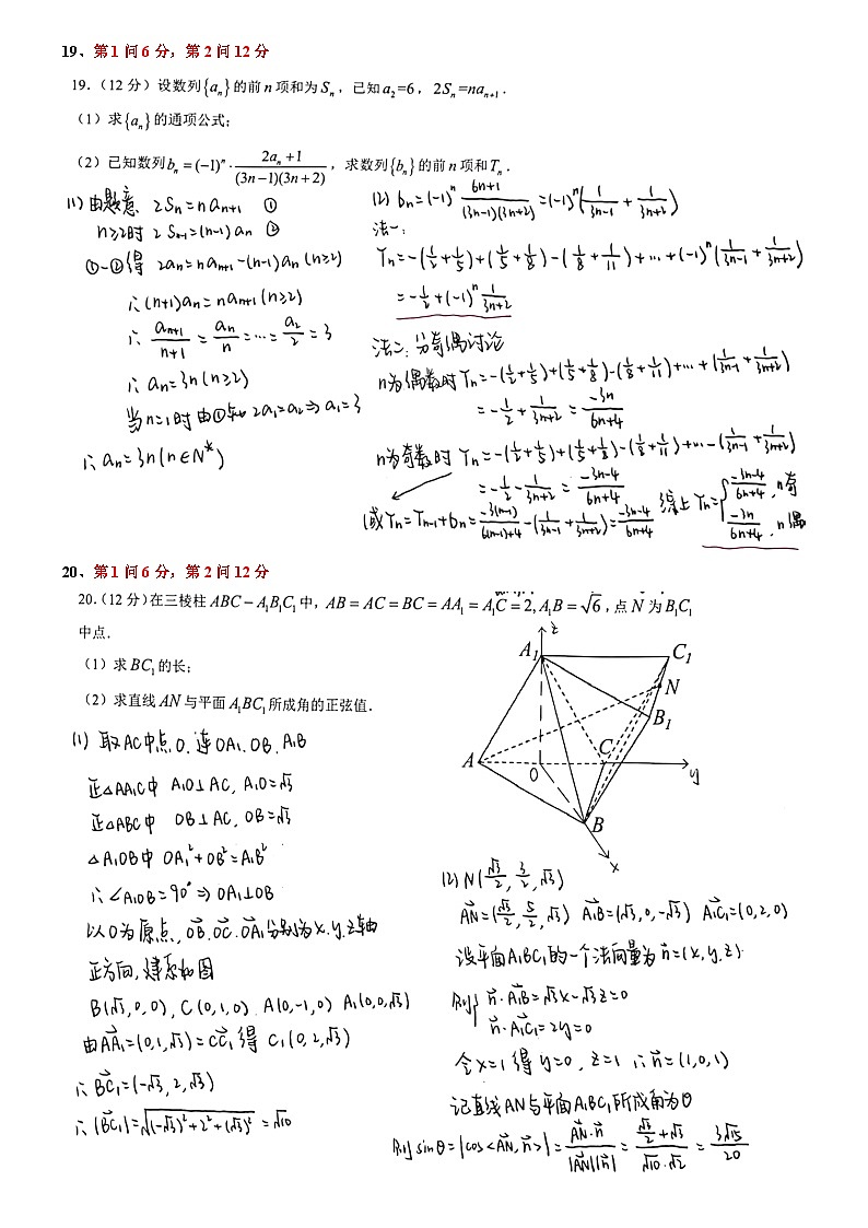
19.(12分)设数列的前项和为,已知,.
(1)求的通项公式;
(2)已知数列,求数列的前项和.
20.(12分)在三棱柱中,,点为中点.
(1)求的长;
(2)求直线与平面所成角的正弦值.
21.(12分)已知椭圆的离心率为,右顶点为,设点为坐标原点,点为椭圆上异于左右顶点的动点,的面积最大值为.
(1)求椭圆的标准方程;
(2)设直线交轴于,其中,直线交椭圆于另一点,直线分别交直线于点和,是否存在实数使得四点共圆,若存在,求出的值;若不存在,说明理由.
22.(12分)已知点在抛物线的准线上,过点作直线与抛物线交于两点,斜率为2的直线与抛物线交于两点.
(1)求抛物线的标准方程;
(2) ① 求证:直线过定点;
② 若的面积为,且满足,求直线斜率的取值范围.
湖北省武汉市武汉外国语学校2023-2024学年高二上学期12月阶段性考试数学试题(Word版附解析): 这是一份湖北省武汉市武汉外国语学校2023-2024学年高二上学期12月阶段性考试数学试题(Word版附解析),共28页。试卷主要包含了单选题,多选题,填空题,解答题等内容,欢迎下载使用。
湖北省武汉外国语学校2023-2024学年高二数学上学期9月月考试题(Word版附答案): 这是一份湖北省武汉外国语学校2023-2024学年高二数学上学期9月月考试题(Word版附答案),共22页。试卷主要包含了单选题,多选题,填空题,解答题等内容,欢迎下载使用。
湖北省武汉外国语学校(武汉实验外国语学校)2023-2024学年高一上学期10月月考数学试题: 这是一份湖北省武汉外国语学校(武汉实验外国语学校)2023-2024学年高一上学期10月月考数学试题,共22页。

