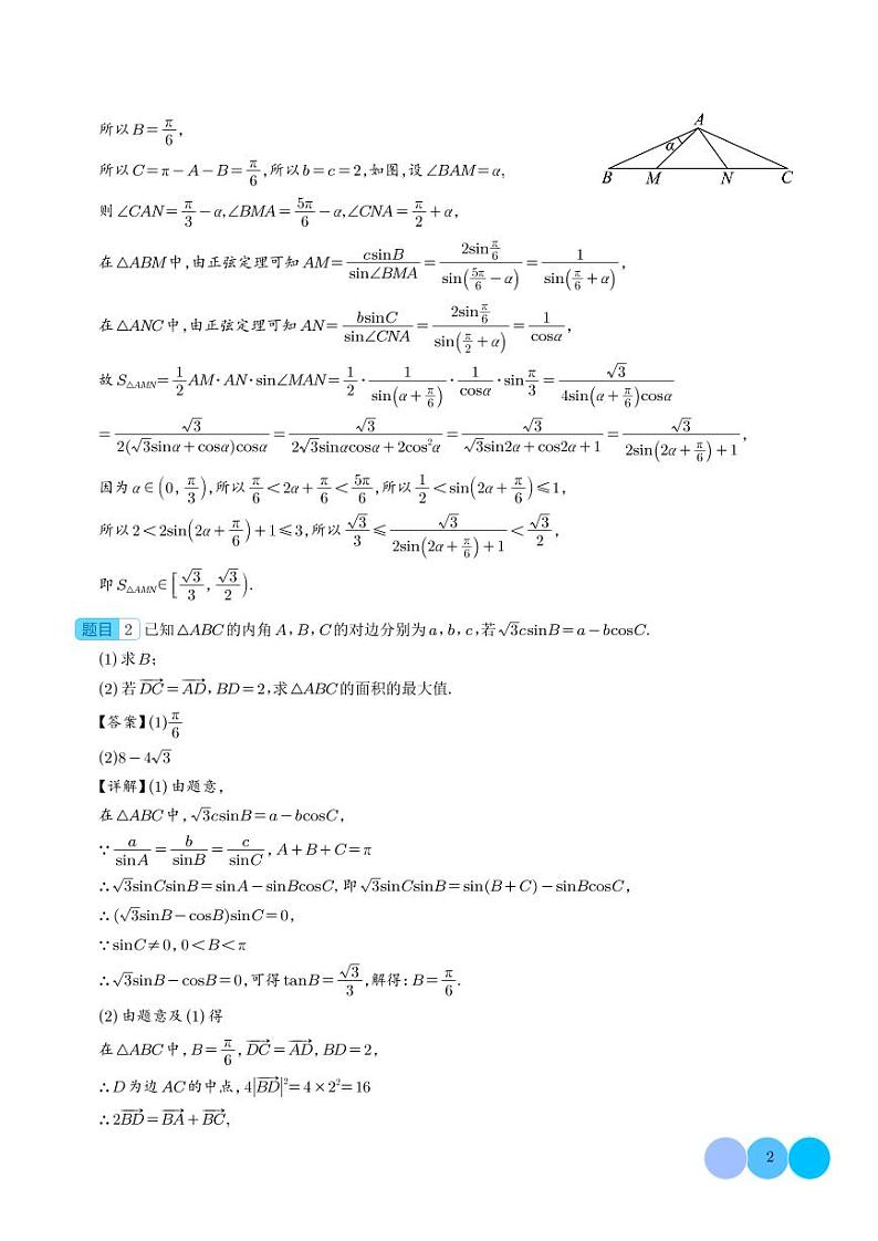
资料中包含下列文件,点击文件名可预览资料内容
还剩20页未读,
继续阅读
五类解三角形题型--新高考数学大题秒杀技巧(学生及解析版)
展开
这是一份五类解三角形题型--新高考数学大题秒杀技巧(学生及解析版),文件包含五类解三角形题型--新高考数学大题秒杀技巧解析版pdf、五类解三角形题型--新高考数学大题秒杀技巧学生版pdf等2份试卷配套教学资源,其中试卷共35页, 欢迎下载使用。
相关试卷
五类解三角形题型--新高考数学大题秒杀技巧(学生及解析版):
这是一份五类解三角形题型--新高考数学大题秒杀技巧(学生及解析版),文件包含五类解三角形题型--新高考数学大题秒杀技巧解析版pdf、五类解三角形题型--新高考数学大题秒杀技巧学生版pdf等2份试卷配套教学资源,其中试卷共35页, 欢迎下载使用。
四类数列题型 -2023 年高考数学大题秒杀技巧学生及教师版:
这是一份四类数列题型 -2023 年高考数学大题秒杀技巧学生及教师版,文件包含四类数列题型解析版pdf、四类数列题型学生版pdf等2份试卷配套教学资源,其中试卷共25页, 欢迎下载使用。
2024年高考数学二轮专题复习 五类解三角形题型--新高考数学大题秒杀技巧(原卷版+解析版):
这是一份2024年高考数学二轮专题复习 五类解三角形题型--新高考数学大题秒杀技巧(原卷版+解析版),共21页。

