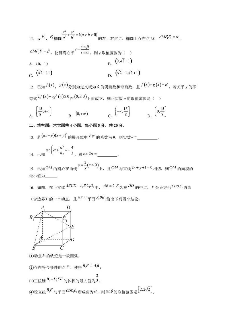
四川省绵阳市2023届高三三诊模拟考试理科数学模拟试题(附答案)
展开四川省绵阳南山中学实验学校2023届高三三诊模拟考试理科数学试题(Word版附解析): 这是一份四川省绵阳南山中学实验学校2023届高三三诊模拟考试理科数学试题(Word版附解析),共22页。试卷主要包含了选择题,填空题,解答题等内容,欢迎下载使用。
2023届四川省绵阳市高三三诊 理科数学试题及答案: 这是一份2023届四川省绵阳市高三三诊 理科数学试题及答案,文件包含2023届绵阳三诊理数答案pdf、2023届绵阳三诊理数试题pdf、2023届绵阳三诊理数答题卡pdf等3份试卷配套教学资源,其中试卷共13页, 欢迎下载使用。
2023届四川省绵阳市高三三诊 文科数学试题及答案: 这是一份2023届四川省绵阳市高三三诊 文科数学试题及答案,文件包含2023届绵阳三诊文数答案pdf、2023届绵阳三诊文数试题pdf、2023届绵阳三诊文数答题卡pdf等3份试卷配套教学资源,其中试卷共11页, 欢迎下载使用。

