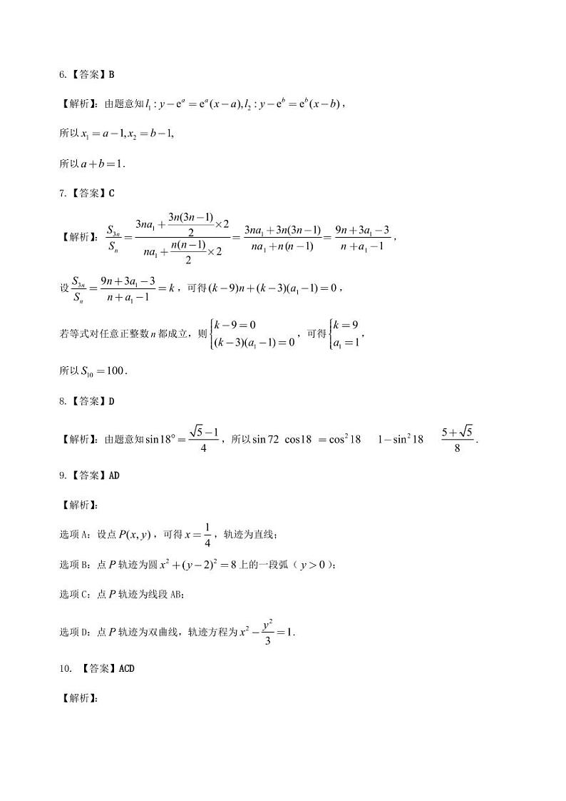
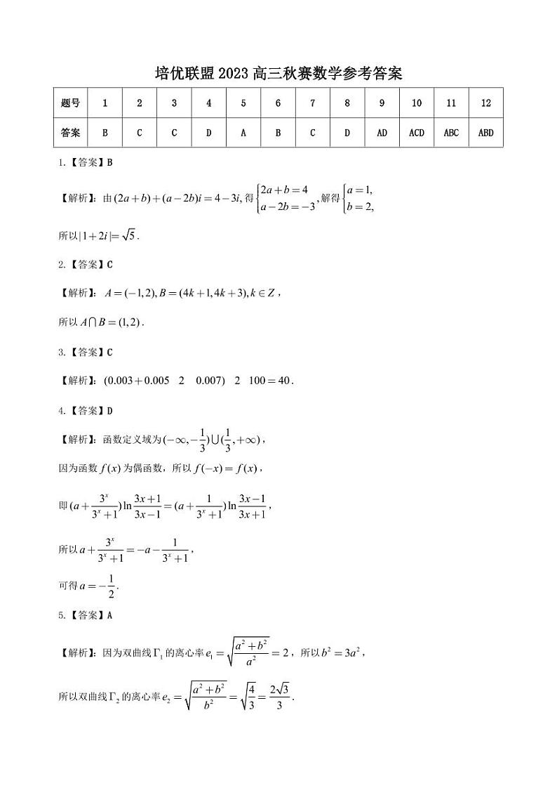
安徽省示范性高中培优联盟2023年高三秋赛联赛数学试题+答案
展开安徽省示范高中培优联盟2023-2024学年高一上学期冬季联赛数学试题(Word版附解析): 这是一份安徽省示范高中培优联盟2023-2024学年高一上学期冬季联赛数学试题(Word版附解析),共18页。试卷主要包含了答第Ⅱ卷时,必须使用0, 已知,,,,则, 函数的最小值是等内容,欢迎下载使用。
安徽示范高中培优联盟2023-2024学年高一上学期冬季联赛数学试题(附答案): 这是一份安徽示范高中培优联盟2023-2024学年高一上学期冬季联赛数学试题(附答案),文件包含2023冬赛高一数学参考答案pdf、安徽省示范高中培优联盟2023-年赛数学试题pdf等2份试卷配套教学资源,其中试卷共9页, 欢迎下载使用。
2023-2024学年安徽省示范高中培优联盟高一上学期冬季联赛数学试题(含解析): 这是一份2023-2024学年安徽省示范高中培优联盟高一上学期冬季联赛数学试题(含解析),共15页。试卷主要包含了单选题,多选题,填空题,解答题等内容,欢迎下载使用。

