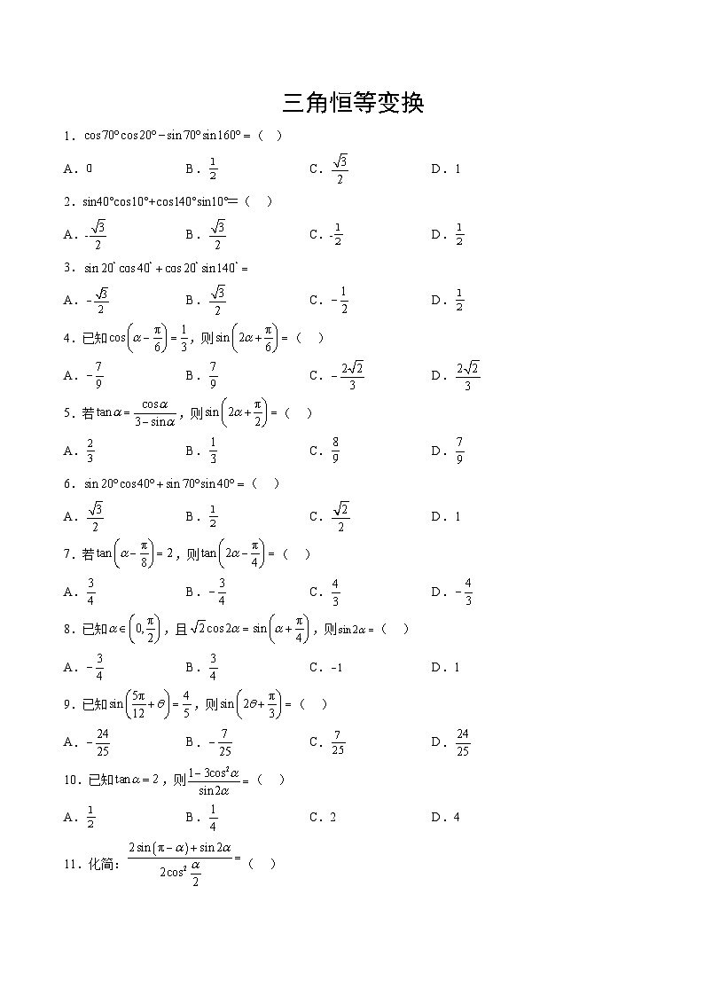
专题09+三角恒等变换-【计算训练】2024年高考数学计算题型精练系列(新高考通用版)
展开A.B.C.D.
【答案】A
【详解】
.
故选:A.
2.sin40°cs10°+cs140°sin10°=( )
A.﹣B.C.﹣D.
【答案】D
【详解】sin40°cs10°+cs140°sin10°,
=sin40°cs10°-cs40°sin10°,
=sin(40°-10°),
=sin30°=.
故选:D
3.
A.B.C.D.
【答案】B
【详解】故选B
4.已知,则( )
A.B.C.D.
【答案】A
【详解】因为,
故,
故选:A
5.若,则( )
A.B.C.D.
【答案】D
【详解】因为,所以,即,
所以,即,
所以,
故选:D.
6.( )
A.B.C.D.
【答案】A
【详解】已知可化为:.
故选:A
7.若,则( )
A.B.C.D.
【答案】D
【详解】由.
故选:D
8.已知,且,则( )
A.B.C.D.1
【答案】B
【详解】,
,
,
又,则,即
所以,
因为,所以,.
由平方可得,即,符合题意.
综上,.
故选:B.
9.已知,则( )
A.B.C.D.
【答案】C
【详解】,
所以,
得.
故选:C.
10.已知,则( )
A.B.C.2D.4
【答案】A
【详解】因为,
所以,
故选:A.
11.化简:( )
A.B.C.D.
【答案】C
【详解】根据题意可知,利用诱导公式可得
再由二倍角的正弦和余弦公式可得
,
即.
故选:C
12.的值为( )
A.B.C.D.
【答案】A
【详解】依题意由两角差的余弦公式可知,
.
故选:A
13.若,则____________
【答案】/-0.6
【详解】
,
故答案为:
14.已知,且,则______.
【答案】
【详解】,,
,.
,
.
故答案为:.
15.已知,则的值是______.
【答案】
【详解】
,
故答案为:
16.已知,若,则_________.
【答案】
【详解】因为,,
所以
所以
所以.
故答案为:.
17.若,则________.
【答案】
【详解】
故答案为:
18.已知,,则_______________________.
【答案】
【详解】因为,所以,由可得,整理可得,
.
故答案为:
19.若,则__________.
【答案】/
【详解】依题意,,
所以,
,而为锐角,所以.
故答案为:
20.已知,则______.
【答案】
【详解】.
故答案为:
21.已知α是第二象限的角,,则________.
【答案】/
【详解】因为,又α是第二象限的角,
所以,,
所以.
故答案为:.
22.已知,则______.
【答案】/0.5
【详解】解:已知,
即,
解得或(舍),
,
故答案为:.
23.若,则_________.
【答案】//
【详解】
.
故答案为:.
24.函数的值域__________.
【答案】
【详解】因为,
因为,
当时,取得最大值,
当时,取得最小值,
又因为, 所以的值域为.
故答案为:.
25.已知,,________.
【答案】/
【详解】,,则,
,,故.
故答案为:
26.(1)计算:;
(2)已知,求的值.
【答案】(1);(2)
【详解】(1)
.
(2)
.
专题12+定义域的运算-【计算训练】2024年高考数学计算题型精练系列(新高考通用版): 这是一份专题12+定义域的运算-【计算训练】2024年高考数学计算题型精练系列(新高考通用版),文件包含专题12定义域的运算原卷版docx、专题12定义域的运算解析版docx等2份试卷配套教学资源,其中试卷共13页, 欢迎下载使用。
专题10+排列组合数计算-【计算训练】2024年高考数学计算题型精练系列(新高考通用版): 这是一份专题10+排列组合数计算-【计算训练】2024年高考数学计算题型精练系列(新高考通用版),文件包含专题10排列组合数计算原卷版docx、专题10排列组合数计算解析版docx等2份试卷配套教学资源,其中试卷共16页, 欢迎下载使用。
专题07+常见数列求和训练-【计算训练】2024年高考数学计算题型精练系列(新高考通用版): 这是一份专题07+常见数列求和训练-【计算训练】2024年高考数学计算题型精练系列(新高考通用版),文件包含专题07数列求和原卷版docx、专题07数列求和解析版docx等2份试卷配套教学资源,其中试卷共39页, 欢迎下载使用。

