福建省厦门湖滨中学2024届高三上学期数学期中考试卷(附解析版)
展开这是一份福建省厦门湖滨中学2024届高三上学期数学期中考试卷(附解析版),文件包含福建省厦门湖滨中学2024届高三上学期数学期中考试卷原卷版docx、福建省厦门湖滨中学2024届高三上学期数学期中考试卷解析版docx等2份试卷配套教学资源,其中试卷共21页, 欢迎下载使用。
一、单选题
1. 已知集合,则的真子集共有( )
A. 2个B. 3个C. 4个D. 8个
【答案】B
【解析】
【分析】根据交集运算得集合P,再根据集合P中的元素个数,确定其真子集个数即可.
【详解】解:
,的真子集是共3个.
故选:B.
2. 若函数在上是减函数,则实数m的取值范围是( )
A. B. C. D.
【答案】B
【解析】
【分析】结合二次函数的对称轴和单调性求得的取值范围.
【详解】函数的对称轴为,
由于在上是减函数,所以.
故选:B
3. 若“”是“”的充分不必要条件,则实数a的取值范围是( )
A. B.
C. D.
【答案】B
【解析】
【分析】根据分式的性质、解一元二次不等式的方法、解绝对值不等式的公式法,结合充分不必要条件的性质进行求解即可.
【详解】因为,则,
因为,则,
即是的充分而不必要条件,
所以,
故选:B
4. 已知焦距为4的双曲线的一条渐近线与直线垂直,则该双曲线的方程为( )
A. B.
C. D.
【答案】C
【解析】
【分析】由已知焦距为4,得出,又由双曲线方程求出渐近线方程,而直线与渐近线垂直,得出它们斜率之积为 ,从而得出、之间的关系,代入,解出、,写出方程即可.
【详解】由已知焦距为4,所以 ,,又双曲线方程的渐近线方程为:,而直线的斜率,且直线与一条渐近线垂直,所以 ,即 ,由 解得 ,所以双曲线方程为:
故选:C.
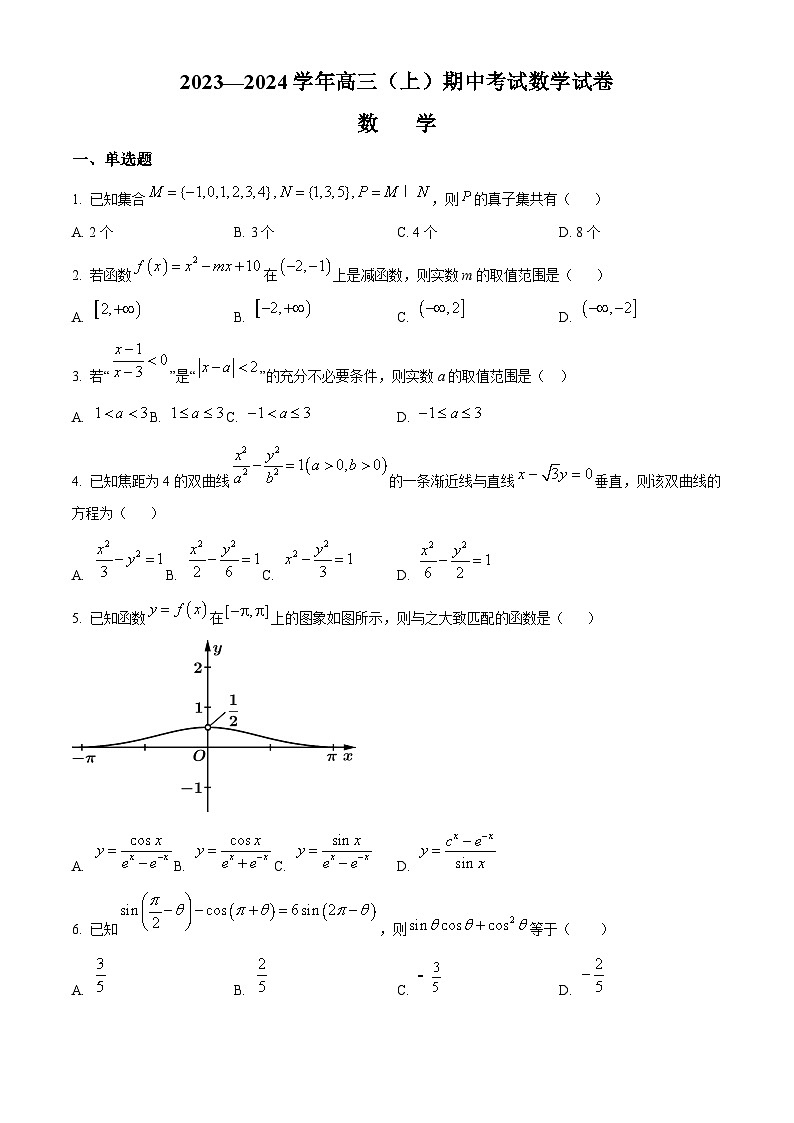
5. 已知函数在上的图象如图所示,则与之大致匹配的函数是( )
A. B.
C. D.
【答案】C
【解析】
【分析】根据特殊值可排除AB,由定义域排除D,即可求解.
【详解】由图可得,,而、选项时,函数值均为,、错误;
由图可得,而选项中函数定义域取不到,故错误
故选: C
6. 已知,则等于( )
A. B. C. D.
【答案】A
【解析】
【分析】
利用诱导公式化简整理,可求得的值,将所求改写成,上下同除,即可得结果.
【详解】由题意得,所以,解得,
所以.
故选:A
7. 设,,,则( )
A. B. C. D.
【答案】D
【解析】
【分析】构造,并利用导数、对数的性质研究大小关系即可.
【详解】设函数,则,
所以为减函数,则,即,又,
所以.
故选:D
8. 已知定义在上的函数满足,①,② 为奇函数,③当时,恒成立.则、、的大小关系正确的是( )
A. B.
C. D.
【答案】A
【解析】
【分析】根据函数的奇偶性、周期性和单调性即可比较的大小.
【详解】由可得的周期为,
因为为奇函数,则,
又因为的周期为,所以,即为奇函数,
因为时,,所以在上单调递增,
因为为奇函数,所以在上单调递增,所以在上单调递增,
因为的周期为,,,
,所以,
即.
故选:A.
二、多选题
9. 下列函数中,满足“,,都有”的有( )
A. B.
C. D.
【答案】AD
【解析】
【分析】根据题意可知满足题意的函数为在上减函数,由此一一判断选项中函数的单调性,可得答案.
【详解】由,,都有,可知函数在时减函数.
函数在时为减函数,符合题意,故A正确;
函数在时为增函数,所以在时为增函数,故B错误;
函数图象的对称轴为,故在时为增函数,故C错误;
函数在时单调递减,符合题意,故D正确.
故选:AD.
10. 已知复数,则下列说法正确的是( )
A. 复数在复平面内对应的点在第四象限B. 复数的虚部为
C. 复数的共轭复数D. 复数的模
【答案】BCD
【解析】
【分析】化简得,再得到其在复平面内对应的点的象限,虚部,共轭复数,模即可得到答案.
【详解】,
,所以复数在复平面内对应的点在第三象限,故A错误;
虚部为,故B正确;
复数的共轭复数,故C正确;
复数的模,故D正确;
故选:BCD.
11. 设函数,则下列结论正确的是( )
A. 的一个周期为B. 的图象关于直线对称
C. 的一个零点为D. 在上单调递减
【答案】ABC
【解析】
分析】根据周期、对称轴、零点、单调性,结合整体思想即可求解.
【详解】对于A项,函数的周期为,,当时,周期,故A项正确;
对于B项,当时,为最小值,此时的图象关于直线对称,故B项正确;
对于C项,,,所以的一个零点为,故C项正确;
对于D项,当时,,此时函数有增有减,不是单调函数,故D项错误.
故选:ABC
12. 已知等差数列的前n项和为,且满足,,则( )
A. 数列是递增数列B. 数列是递增数列
C. 的最小值是D. 使得取得最小正数的
【答案】AC
【解析】
【分析】根据题意,结合等差数列的性质以及前项和的公式与性质,一一判断即可.
【详解】因为,,所以,可得公差,的最小值是,故AC正确;
因为,单调递减,,单调递增,所以B项错误;
因为,所以,
同理,所以取得最小正数的,D项错误.
故选AC项.
三、填空题
13. 若,,则________________.
【答案】
【解析】
【分析】根据题意,利用三角函数的定义,准确运算,即可求解.
【详解】因为,且,
可令,则,设终边上一点的坐标,
则,可得.
故答案为:.
14. 若直线与曲线相切,则的值为___________.
【答案】
【解析】
【分析】设切点为,利用导数的几何意义结合条件即得.
【详解】设切点为,则,,
,,
,
所以,.
故答案为:.
15. 记函数的最小正周期为T,若,为的零点,则的最小值为____________.
【答案】
【解析】
【分析】首先表示出,根据求出,再根据为函数的零点,即可求出的取值,从而得解;
【详解】解: 因为,(,)
所以最小正周期,因为,
又,所以,即,
又为的零点,所以,解得,
因为,所以当时;
故答案为:
16. 已知函数存在极值,则实数的取值范围是___________.
【答案】
【解析】
【分析】分析可知函数在上存在极值点,求得,可得出,即可求得实数的取值范围.
【详解】函数的定义域为,且,
由题意可知,函数在上存在极值点,
对于方程,,解得或,
解方程可得,,且,
故有,整理可得.
若,则,矛盾;
若,则.
综上所述,实数的取值范围是.
故答案为:.
四、解答题
17. 在中,a,b,c分别是角A、B、C的对边,且.
(1)求C;
(2)若,求A.
【答案】(1)
(2)
【解析】
【分析】(1)由余弦定理即可求解,
(2)利用正弦定理边角互化,结合两角和的正弦公式即可得,进而可求解.
【小问1详解】
∵,∴,∴,
由于C是三角形内角,∴.
【小问2详解】
由正弦定理可得,
∴
∴,∴,
∴,∴.
∵,∴,
由于B是三角形内角 ,∴,则.
18. 设各项非负的数列的前项和为,已知,且成等比数列.
(1)求的通项公式;
(2)若,数列的前项和.
【答案】(1)
(2)
【解析】
【分析】(1)利用得出的递推关系,从而得数列从第2项起为等差数列,结合等比数列的性质可求得,这样可得通项公式,然后由已知式中令求得,比较后可得结论;
(2)用错位相减法求和.
【小问1详解】
当时,,
当时,①,②.
①-②得,即,
∵,∴,
∴数列从第2项起是公差为1的等差数列.
∴,
又,,成等比数列,∴,即,
解得,∴,
∵,∴,适合上式,
∴数列的通项公式为.
【小问2详解】
,
∴数列的前项的和为
③
④
③-④得
,
∴.
19. 在四棱锥中,底面为直角梯形,,侧面底面,且分别为的中点.
(1)证明:平面;
(2)若直线与平面所成的角为,求平面与平面的夹角的余弦值.
【答案】(1)证明见解析
(2)
【解析】
【分析】(1)取中点,连接,通过证明四边形为平行四边形,即可证明结论;
(2)由直线与平面所成的角为,可得,建立以G为原点的空间直角坐标系,利用向量方法可得答案.
【小问1详解】
证明:取中点,连接,
为的中点,
,又,
,
四边形为平行四边形:
,
平面平面,
平面;
【小问2详解】
平面平面,平面平面平面,平面,
取中点,连接,则平面,
,
,又,
如图以为坐标原点,为轴,为轴,为轴建立空间直角坐标系,
,
,设平面的一个法向量,,
则,取,则,
平面的一个法向量可取,
设平面与平面所成的夹角为,
,平面与平面所成的夹角的余弦为
20. 已知为椭圆上任一点,,为椭圆的焦点,,离心率为.
(1)求椭圆的方程;
(2)若直线:与椭圆的两交点为A,,线段的中点在直线上,为坐标原点,当的面积等于时,求直线的方程.
【答案】(1)
(2)或
【解析】
【分析】由椭圆定义可得的值,进而由离心率可得,再求得,即可得到椭圆的方程;
设出点A,的坐标,联立直线与椭圆的方程,利用设而不求的方法,并依据题给条件列方程,即可求出,进而求得的值,从而求得直线的方程.
【小问1详解】
由椭圆定义得,,所以,故,
所以椭圆的方程为.
【小问2详解】
设代入方程,
得
所以,,
所以,解得,
则式变为则,
底边上的高,所以的面积.
令,解得,
把,代入式,经检验,均满足,
此时直线的方程为或.
21. 学校团委和工会联合组织教职员工进行益智健身活动比赛.经多轮比赛后,由教师甲、乙作为代表进行决赛.决赛共设三个项目,每个项目胜者得10分,负者得分,没有平局.三个项目比赛结束后,总得分高的获得冠军.已知教师甲在三个项目中获胜的概率分别为0.4,0.5,0.75,各项目的比赛结果相互独立.甲、乙获得冠军的概率分别记为,.
(1)判断甲、乙获得冠军的实力是否有明显差别(如果,那么认为甲、乙获得冠军的实力有明显差别,否则认为没有明显差别);
(2)用X表示教师乙的总得分,求X的分布列与期望.
【答案】(1)甲、乙获得冠军的实力没有明显差别
(2)分布列见解析,
【解析】
【分析】(1)设教师甲在三个项目中获胜的事件依次为,利用互斥事件和独立事件的概率共求得和,结合,即可得到结论;
(2)根据题意,得到的可能取值为,利用独立事件的概率乘法公式,求得相应的概率,得出分布列,结合期望的公式,即可求解.
【小问1详解】
解:设教师甲在三个项目中获胜的事件依次为,
则教师甲获得冠军的概率
,
由对立事件的概率公式,可得得,
所以,解得,
因为,所以甲、乙获得冠军实力没有明显差别.
【小问2详解】
解:根据题意知,的可能取值为,
可得,
,
,
.
所以随机变量的分布列为
所以期望为.
22. 已知函数.
(1)若不等式在区间内恒成立,求实数取值范围;
(2)求证:(为自然对数的底数)
【答案】(1)
(2)证明见解析
【解析】
【分析】(1)分离参数,转化为求定函数的最值问题;
(2)根据第一问,合理构造,利用不等式的性质合理变形达到证明的目的.
【小问1详解】
因为,,所以,
令,又,令解得,
时,,递增,时,,递减,
所以当时函数有最大值,且最大值为,所以.
【小问2详解】
由(1)知,所以,
所以
,
又
,
所以,
即.0
15
30
0.15
0.425
0.35
0.075
相关试卷
这是一份福建省厦门市湖滨中学2023-2024学年高二上学期期中数学试题(Word版附答案),共25页。试卷主要包含了单选题,多选题,填空题,解答题等内容,欢迎下载使用。
这是一份福建省厦门市湖滨中学2023-2024学年高三上学期期中数学试题(Word版附解析),共17页。试卷主要包含了单选题,多选题,填空题,解答题等内容,欢迎下载使用。
这是一份2024厦门湖滨中学高三上学期期中考试数学含解析,文件包含福建省厦门市湖滨中学2023-2024学年高三上学期期中考试数学答案docx、福建省厦门市湖滨中学2023-2024学年高三上学期期中考试数学docx等2份试卷配套教学资源,其中试卷共21页, 欢迎下载使用。

