2024湖南省炎德英才名校联合体高三上学期第三次联考试题数学PDF版含解析
展开2022炎德英才名校联合体高一12月联考数学试题及解析: 这是一份2022炎德英才名校联合体高一12月联考数学试题及解析,共8页。
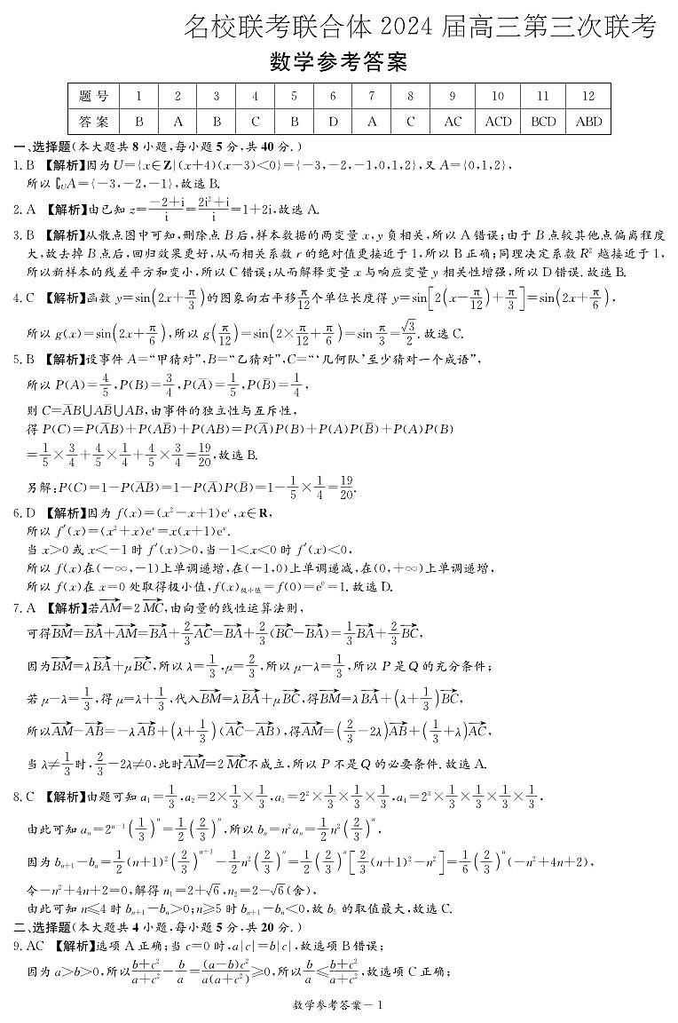
湖南省炎德英才大联考名校联考联合体2024届高三第三次联考数学含解析: 这是一份湖南省炎德英才大联考名校联考联合体2024届高三第三次联考数学含解析,共4页。
【数学卷】2024届湖南炎德英才大联考名校联考联合体高三第三次联考(无答案): 这是一份【数学卷】2024届湖南炎德英才大联考名校联考联合体高三第三次联考(无答案),共16页。

