新高考数学二轮复习圆锥曲线培优专题12 圆锥曲线中的“设而不求”(含解析)
展开专题12 圆锥曲线中的“设而不求”
一、考情分析
研究曲线方程及由方程研究曲线的有关性质问题,是圆锥曲线中的一个重要内容,其特点是代数的运算较为繁杂,许多学生会想而不善于运算,往往是列出式子后“望式兴叹”.在解决圆锥曲线问题时若能恰当使用“设而不求”的策略,可避免盲目推演造成的无效运算,从而达到准确、快速的解题效果.
二、解题秘籍
(一) “设而不求”的实质及注意事项
1.设而不求是解析几何解题的基本手段,是比较特殊的一种思想方法,其实质是整体结构意义上的变式和整体思想的应用.设而不求的灵魂是通过科学的手段使运算量最大限度地减少,通过设出相应的参数,利用题设条件加以巧妙转化,以参数为过渡,设而不求.
2.在运用圆锥曲线问题中的设而不求方法技巧时,需要做到:①凡是不必直接计算就能更简洁地解决问题的,都尽可能实施“设而不求”;②“设而不求”不可避免地要设参、消参,而设参的原则是宜少不宜多.
3. “设而不求”最常见的类型一是涉及动点问题,设出动点坐标,在运算过程中动点坐标通过四则运算消去,或利用根与系数的关系转化为关于其他参数的问题;二是涉及动直线问题,把斜率或截距作为参数,设出直线的方程,再通过运算消去.
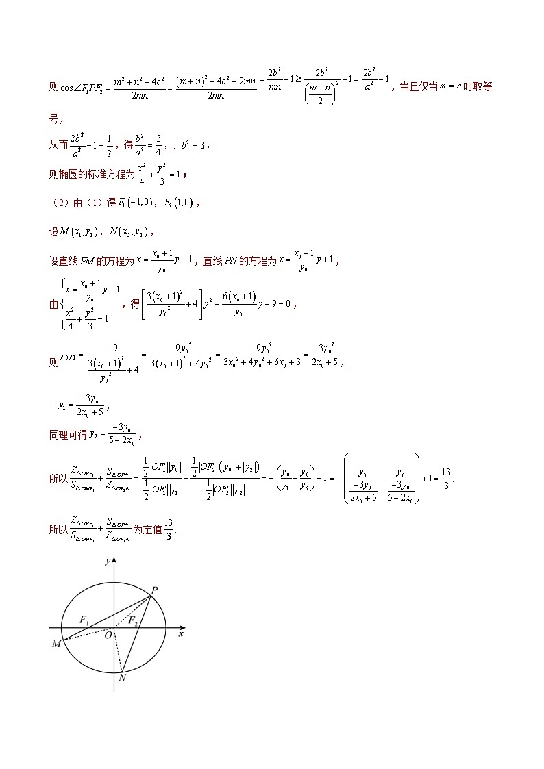
【例1】(2023届山西省临汾市等联考高三上学期期中)已知椭圆的长轴长为,,为的左、右焦点,点在上运动,且的最小值为.连接,并延长分别交椭圆于,两点.
(1)求的方程;
(2)证明:为定值.
【解析】(1)由题意得,
设,的长分别为,,
则,当且仅当时取等号,
从而,得,,
则椭圆的标准方程为;
(2)由(1)得,,
设,,
设直线的方程为,直线的方程为,
由,得,
则,
,
同理可得,
所以.
所以为定值.
【例2】(2023届江苏省连云港市高三上学期10月联考)已知椭圆中有两顶点为,,一个焦点为.
(1)若直线过点且与椭圆交于,两点,当时,求直线的方程;
(2)若直线过点且与椭圆交于,两点,并与轴交于点,直线与直线交于点,当点异,两点时,试问是否是定值?若是,请求出此定值,若不是,请说明理由.
【解析】(1)∵椭圆的焦点在轴上,设椭圆的标准方程为,
由已知得,,所以,
椭圆的方程为,
当直线与轴垂直时与题意不符,
设直线的方程为,,,
将直线的方程代入椭圆的方程化简得,
则,,
∴,解得.
∴直线的方程为;
(2)当轴时,,不符合题意,
当与轴不垂直时,设:,则,
设,,联立方程组得,
∴,,
又直线:,直线:,
由可得,即,
,
,
,
,
,即,得,
∴点坐标为,
∴,
所以为定值.
(二)设点的坐标
在涉及直线与圆锥曲线位置关系时,如何避免求交点,简化运算,是处理这类问题的关键,求解时常常设出点的坐标,设坐标方法即通过设一些辅助点的坐标,然后以坐标为参数,利用点的特性(条件)建立关系(方程).显然,这里的坐标只是为寻找关系而作为“搭桥”用的,在具体解题中是通过“设而不求”与“整体消元”解题策略进行的.
【例3】(2023届湖南省郴州市高三上学期质量监测)已知椭圆的离心率为,过坐标原点的直线交椭圆于两点,其中在第一象限,过作轴的垂线,垂足为,连接.当为椭圆的右焦点时,的面积为.
(1)求椭圆的方程;
(2)若为的延长线与椭圆的交点,试问:是否为定值,若是,求出这个定值;若不是,说明理由.
【解析】(1)椭圆离心率,,则,
当为椭圆右焦点时,;
,解得:,,
椭圆的方程为:.
(2)由题意可设直线,,,
则,,,直线;
由得:,
,则,
,;
,又,
,则,
为定值.
【例4】(2023届江苏省南通市如皋市高三上学期期中)作斜率为的直线l与椭圆交于两点,且在直线l的左上方.
(1)当直线l与椭圆C有两个公共点时,证明直线l与椭圆C截得的线段AB的中点在一条直线上;
(2)证明:的内切圆的圆心在一条定直线上.
【解析】(1)设,,中点坐标为,
所以有,联立,得,得,得,由韦达定理可知,,所以,所以,化简得:,所以线段AB的中点在直线上.
(2)由题可知,的斜率分别为,,所以,因为得
由(1)可知,,所以,又因为在直线l的左上方,所以的角平分线与轴平行,所以的内切圆的圆心在这条直线上.
(三)设参数
在求解与动直线有关的定点、定值或最值与范围问题时常设直线方程,因为动直线方程不确定,需要引入参数,这时常引入斜率、截距作为参数.
【例5】(2022届湖南省益阳市高三上学期月考)已知椭圆的左右焦点分别为,,其离心率为,P为椭圆C上一动点,面积的最大值为.
(1)求椭圆C的方程;
(2)过右焦点的直线l与椭圆C交于A,B两点,试问:在x轴上是否存在定点Q,使得为定值?若存在,求出点Q的坐标;若不存在,请说明理由.
【解析】(1)设椭圆C的半焦距为c,因离心率为,则,由椭圆性质知,椭圆短轴的端点到直线的距离最大,
则有,于是得,又,联立解得,
所以椭圆C的方程为:.
(2)由(1)知,点,
当直线斜率存在时,不妨设,,,
由消去y并整理得,,,,
假定在x轴上存在定点Q满足条件,设点,
则
,
当,即时,,
当直线l斜率不存在时,直线l:与椭圆C交于点A,B,由对称性不妨令,
当点坐标为时,,,
所以存在定点,使得为定值.
(四) 中点弦问题中的设而不求
与中点弦有个的问题一般是设出弦端点坐标代入圆锥曲线方程作差,得到关于的关系式,再结合题中条件求解.
【例6】中心在原点的双曲线焦点在轴上且焦距为,请从下面3个条件中选择1个补全条件,并完成后面问题:
①该曲线经过点;
②该曲线的渐近线与圆相切;
③点在该双曲线上,、为该双曲线的焦点,当点的纵坐标为时,恰好.
(1)求双曲线的标准方程;
(2)过定点能否作直线,使与此双曲线相交于、两点,且是弦的中点?若存在,求出的方程;若不存在,说明理由.
【解析】(1)设双曲线的标准方程为.
选①:由题意可知,双曲线的两个焦点分别为、,
由双曲线的定义可得,则,故,
所以,双曲线的标准方程为.
选②:圆的标准方程为,圆心为,半径为,
双曲线的渐近线方程为,由题意可得,解得,
即,因为,则,,
因此,双曲线的标准方程为.
选③:由勾股定理可得,
所以,,则,则,故,
所以,双曲线的标准方程为.
(2)假设满足条件的直线存在,设点、,则,
由题意可得,两式作差得,
所以,直线的斜率为,所以,直线的方程为,即.
联立,整理可得,,
因此,直线不存在.
三、跟踪检测
1.(2023届河南省洛平许济高三上学期质量检测)已知椭圆的右焦点为F,离心率为,上顶点为.
(1)求椭圆C的方程;
(2)过点F的直线l与椭圆C交于P,Q两点,与y轴交于点M,若,,判断是否为定值?并说明理由.
【解析】(1)由题意可得,解得,
故椭圆C的方程.
(2)为定值,理由如下:
由(1)可得,
由题意可知直线l的斜率存在,设直线l:,则,
联立方程,消去y得,
则,
,
∵,,则,可得,
(定值).
2.(2023届江西省南昌市金太阳高三上学期10月联考)如图,长轴长为4的椭圆的左顶点为A,过原点的直线(与坐标轴不重合)与椭圆交于,两点,直线,与轴分别交于,两点,当直线的斜率为时,.
(1)求椭圆的方程.
(2)试问是否存在定点,使得恒成立?若存在,求出定点的坐标;若不存在,说明理由.
【解析】(1)由题意可知,则椭圆方程即,
当直线的斜率为时,,
故设 , ,解得,
将 代入得,即,
故 ,所以椭圆的标准方程为 ;
(2)设,则,
则 ,
由椭圆方程可得 ,∴直线方程为︰ ,
令 可得 ,
直线方程为: ,令得 ,
假设存在定点,使得,则定点必在以为直径的圆上,
以为直径的圆为 ,
即 ,
∵ ,即
∴ ,
令 ,则 ,解得,
∴以为直径的圆过定点 ,即存在定点,使得 .
3.(2023届黑龙江省大庆铁人中学高三上学期月考)已知椭圆的离心率为,椭圆的短轴端点与双曲线的焦点重合,过点且不垂直于轴的直线l与椭圆相交于A,B两点.
(1)求椭圆C的方程;
(2)若点B关于轴的对称点为点E,证明:直线与轴交于定点.
【解析】(1)由双曲线得焦点,得,
由题意可得,解得,,
故椭圆的方程为;.
(2)设直线,点,则点.
由,得,,解得,
从而,,
直线的方程为,令得,
又∵,,
则,即,
故直线与轴交于定点.
4.(2023届江西省赣州厚德外国语学校、丰城中学高三上学期10月联考)已知双曲线经过点,两条渐近线的夹角为,直线交双曲线于两点.
(1)求双曲线的方程.
(2)若动直线经过双曲线的右焦点,是否存在轴上的定点,使得以线段为直径的圆恒过点?若存在,求实数的值;若不存在,请说明理由.
【解析】(1)两条渐近线的夹角为,渐近线的斜率或,即或;
当时,由得:,,双曲线的方程为:;
当时,方程无解;
综上所述:双曲线的方程为:.
(2)由题意得:,
假设存在定点满足题意,则恒成立;
方法一:①当直线斜率存在时,设,,,
由得:,,
,,
,
,
整理可得:,
由得:;
当时,恒成立;
②当直线斜率不存在时,,则,,
当时,,,成立;
综上所述:存在,使得以线段为直径的圆恒过点.
方法二:①当直线斜率为时,,则,,
,,,
,解得:;
②当直线斜率不为时,设,,,
由得:,,
,,
;
当,即时,成立;
综上所述:存在,使得以线段为直径的圆恒过点.
5.(2023届内蒙古自治区赤峰市高三上学期月考)平面内一动点到定直线的距离,是它与定点的距离的两倍.
(1)求点的轨迹方程;
(2)过点作两条互相垂直的直线,(直线不与轴垂直).其中,直线交曲线于,两点,直线交曲线于,两点,直线与直线交于点,若直线,,的斜率,,构成等差数列,求的值.
【解析】(1)设点,由题,有,即,解得,
所以所求点轨迹方程为
(2)由题,直线的斜率存在且不为0,设直线的方程为,
与曲线联立方程组得,解得,
设,,则有,
依题意有直线的斜率为,则直线的方程为,
令,则有点的坐标为,
由题,,
,
因为,
所以
解得,则必有,
所以.
6.(2023届福建省福州华侨中学高三上学期考试)在平面直角坐标系中,已知点,直线,点M到l的距离为d,若点M满足,记M的轨迹为C.
(1)求C的方程;
(2)过点且斜率不为0的直线与C交于P,Q两点,设,证明:以P,Q为直径的圆经过点A.
【解析】(1)设点,则,
由,得,两边平方整理得,
则所求曲线的方程为.
(2)设直线的方程为,
联立方程,消去并整理得,
因为直线与交于两点,故,此时,
所以,而.
又,
所以
所以,即以P,Q为直径的圆经过点A.
7.(2023届河南省安阳市高三上学期10月月考)已知椭圆的左、右焦点分别为,,,面积为的正方形ABCD的顶点都在上.
(1)求的方程;
(2)已知P为椭圆上一点,过点P作的两条切线和,若,的斜率分别为,,求证:为定值.
【解析】(1)根据对称性,不妨设正方形的一个顶点为,
由,得,
所以,整理得.①
又,②
由①②解得,,
故所求椭圆方程为.
(2)由已知及(1)可得,
设点,则.
设过点P与相切的直线l的方程为,
与联立消去y整理可得,
令,
整理可得,③
根据题意和为方程③的两个不等实根,
所以,
即为定值.
8.(2023届浙江省浙里卷天下高三上学期10月测试)已知分别为椭圆的左、右焦点,过点且与轴不重合的直线与椭圆交于两点,的周长为8.
(1)若的面积为,求直线的方程;
(2)过两点分别作直线的垂线,垂足分别是,证明:直线与交于定点.
【解析】(1)因的周长为8,由椭圆定义得,即,而半焦距,又,则,椭圆的方程为,
依题意,设直线的方程为,由消去x并整理得,
设,,则,,
,
因此,解得,
所以直线的方程为或.
(2)由(1)知,,则,,设直线与交点为,
则,,
而,,则,,
两式相加得:,而,
则,因此,两式相减得:
,而,则,即,
所以直线与交于定点.
9.(2023届江苏省南京市六校高三上学期10月联考)已知双曲线:的焦距为4,且过点
(1)求双曲线的方程;
(2)过双曲线的左焦点分别作斜率为的两直线与,直线交双曲线于两点,直线交双曲线于两点,设分别为与的中点,若,试求与的面积之比.
【解析】(1)由题意得,得,
所以,
因为点在双曲线上,
所以,
解得,
所以双曲线方程为,
(2),设直线方程为,,
由,得
则,
所以,
所以的中点,
因为,
所以用代换,得,
当,即时,直线的方程为,过点,
当时,,
直线的方程为,
令,得,
所以直线也过定点,
所以
10.(2022届北京市海淀区高三上学期期末)已知点在椭圆:上.
(1)求椭圆的方程和离心率;
(2)设直线:(其中)与椭圆交于不同两点E,F,直线AE,AF分别交直线于点M,N.当的面积为时,求的值.
【解析】(1)将点代入,解得,所以椭圆的方程为
又,离心率
(2)联立,整理得
设点E,F的坐标分别为,
由韦达定理得:,
直线AE的方程为,令,得,即
直线AF的方程为,令,得,即
所以的面积
即,解得或
所以的值为或
11.(2022届天津市第二中学高三上学期12月月考)已知椭圆的长轴长是4,且过点.
(1)求椭圆的标准方程;
(2)直线l:交椭圆于P,Q两点,若点B始终在以PQ为直径的圆内,求实数k的取值范围.
【解析】(1)由题意,得,,
所以椭圆的标准方程为;
(2)设,,
联立,得,
即,
则,
因为直线恒过椭圆的左顶点,
所以,,
则,,
因为点B始终在以PQ为直径的圆内,
所以,即,
又,,
则,
即,
即,
解得,
所以实数k的取值范围为.
12.(2022届广东省华南师范大学附属中学高三上学期1月模拟)已知椭圆C1:=1(a>b>0)的右顶点与抛物线C2:y2=2px(p>0)的焦点重合,椭圆C1的离心率为,过椭圆C1的右焦点F且垂直于x轴的直线截抛物线所得弦的长度为4.
(1)求椭圆C1和抛物线C2的方程.
(2)过点A(-4,0)的直线l与椭圆C1交于M,N两点,点M关于x轴的对称点为E.当直线l绕点A旋转时,直线EN是否经过一定点?请判断并证明你的结论.
【解析】(1)设椭圆C1的半焦距为c.依题意,可得a=,则C2:y2=4ax,
代入x=c,得y2=4ac,即y=±2,所以4=4,
则有,所以a=2,b=,
所以椭圆C1的方程为=1,抛物线C2的方程为y2=8x.
(2)依题意,当直线l的斜率不为0时,设其方程为x=ty-4,
由,得(3t2+4)y2-24ty+36=0.
设M(x1,y1),N(x2,y2),则E(x1,-y1).由Δ>0,得t<-2或t>2,
且y1+y2=,y1y2=.
根据椭圆的对称性可知,若直线EN过定点,此定点必在x轴上,设此定点为Q(m,0).
因为kNQ=kEQ,所以,(x1-m)y2+(x2-m)y1=0,
即(ty1-4-m)y2+(ty2-4-m)y1=0,2ty1y2-(m+4)(y1+y2)=0,
即2t·-(m+4)·=0,得(3-m-4)t=(-m-1)t=0,
由t是大于2或小于-2的任意实数知m=-1,所以直线EN过定点Q(-1,0).
当直线l的斜率为0时,直线EN的方程为y=0,也经过点Q(-1,0),
所以当直线l绕点A旋转时,直线EN恒过一定点Q(-1,0).
13.(2022届河北省高三上学期省级联测)已知椭圆P焦点分别是和,直线与椭圆P相交所得的弦长为1.
(1)求椭圆P的标准方程;
(2)将椭圆P绕原点逆时针旋转90°得到椭圆Q,在椭圆Q上存在A,B,C三点,且坐标原点为的重心,求的面积.
【解析】(1)根据题意,,,
又因为,
解得:,,
所以椭圆的标准方程为.
(2)由题意得椭圆Q的方程为,
当直线斜率存在时,设方程为:,,,,
联立可得:,
则
因为坐标原点为的重心,
所以
由,
得
将代入椭圆方程可得:,
化简得:,
又O到直线的距离为:,
则,
因为原点O为的重心,
所以,
当直线斜率不存在时,根据坐标关系得,直线AB的方程为,
此时,
所以.
综上:的面积为.
14.(2022届广东省佛山市高三上学期期末)已知双曲线C的渐近线方程为,且过点.
(1)求C的方程;
(2)设,直线不经过P点且与C相交于A,B两点,若直线与C交于另一点D,求证:直线过定点.
【解析】(1)因为双曲线C的渐近线方程为,
则可设双曲线的方程为,
将点代入得,解得,
所以双曲线C的方程为;
(2)显然直线的斜率不为零,
设直线为,,
联立,消整理得,
依题意得且,即且,
,
直线的方程为,
令,
得
.
所以直线过定点.
15.(2022届江苏省盐城市、南京市高三上学期1月模拟)设双曲线的右顶点为,虚轴长为,两准线间的距离为.
(1)求双曲线的方程;
(2)设动直线与双曲线交于两点,已知,设点到动直线的距离为,求的最大值.
【解析】(1)依题意可得,解得,所以双曲线方程为
(2)由(1)可知,依题意可知,设,,,,则有,,所以,,所以,,
作差得,又的方程为,所以过定点,所以,即的最大值为;
16.(2022届浙江省普通高中强基联盟高三上学期统测)如图,已知椭圆,椭圆,、.为椭圆上动点且在第一象限,直线、分别交椭圆于、两点,连接交轴于点.过点作交椭圆于,且.
(1)证明:为定值;
(2)证明直线过定点,并求出该定点;
(3)若记、两点的横坐标分别为、,证明:为定值.
【解析】(1)证明:设,则,可得,
则,,则;
(2)证明:当直线的斜率存在时,设的方程为,
则,代入消元得.
则,
设、,则,,
由,
得,
约去,并化简得,解得(不符合题意,舍去);
当直线的斜率不存在时,设的方程为,其中,
联立,解得,则、,
所以,,可解得.
综上,直线过定点.
(3)证明:设的方程为,
则可解得点的坐标为.
由,则点的坐标为.
同理,记的斜率为,则点的坐标为.
由,则点的坐标为,
则的斜率,
所以直线的方程为.
令,得,故.
17.(2022届湖北省新高考联考协作体高三上学期12月联考)已知圆:,椭圆:的离心率为,是上的一点,是圆上的一点,的最大值为.
(1)求椭圆的方程;
(2)点是上异于的一点,与圆相切于点,证明:.
【解析】(1),所以
设的焦距是,则,解得,则,
所以的方程是.
(2)证明:①当直线斜率不存在时,的方程为或.
当时,,,此时,即;
当时,同理可得.
②当直线斜率存在时,设方程为,即.
因为直线与圆相切,所以,即
联立得.
设,,则,
所以
代入整理可得,即
综上,,又与圆相切于点,所以,易得,
所以,即
所以上存在定点满足题意,其中的坐标为.
18.已知双曲线:(,)的实轴长为,离心率.
(1)求双曲线的方程;
(2)直线与双曲线相交于,两点,弦的中点坐标为,求直线的方程.
【解析】 (1)由题意可得,解得:,所以双曲线的方程为:.
(2)设,,
因为弦的中点坐标为,所以,,
将点,代入双曲线可得:
,两式相减可得:
即,所以,
所以直线的斜率为:,
所以直线的方程为:即.
新高考数学二轮培优专题 圆锥曲线中的“设而不求”(原卷版+解析版): 这是一份新高考数学二轮培优专题 圆锥曲线中的“设而不求”(原卷版+解析版),共23页。
新高考数学二轮复习圆锥曲线培优专题14 圆锥曲线中的证明问题(含解析): 这是一份新高考数学二轮复习圆锥曲线培优专题14 圆锥曲线中的证明问题(含解析),共27页。试卷主要包含了考情分析,解题秘籍,跟踪检测等内容,欢迎下载使用。
新高考数学二轮复习圆锥曲线培优专题07 圆锥曲线中的定值问题(含解析): 这是一份新高考数学二轮复习圆锥曲线培优专题07 圆锥曲线中的定值问题(含解析),共31页。试卷主要包含了考情分析,解题秘籍,跟踪检测等内容,欢迎下载使用。

