还剩3页未读,
继续阅读
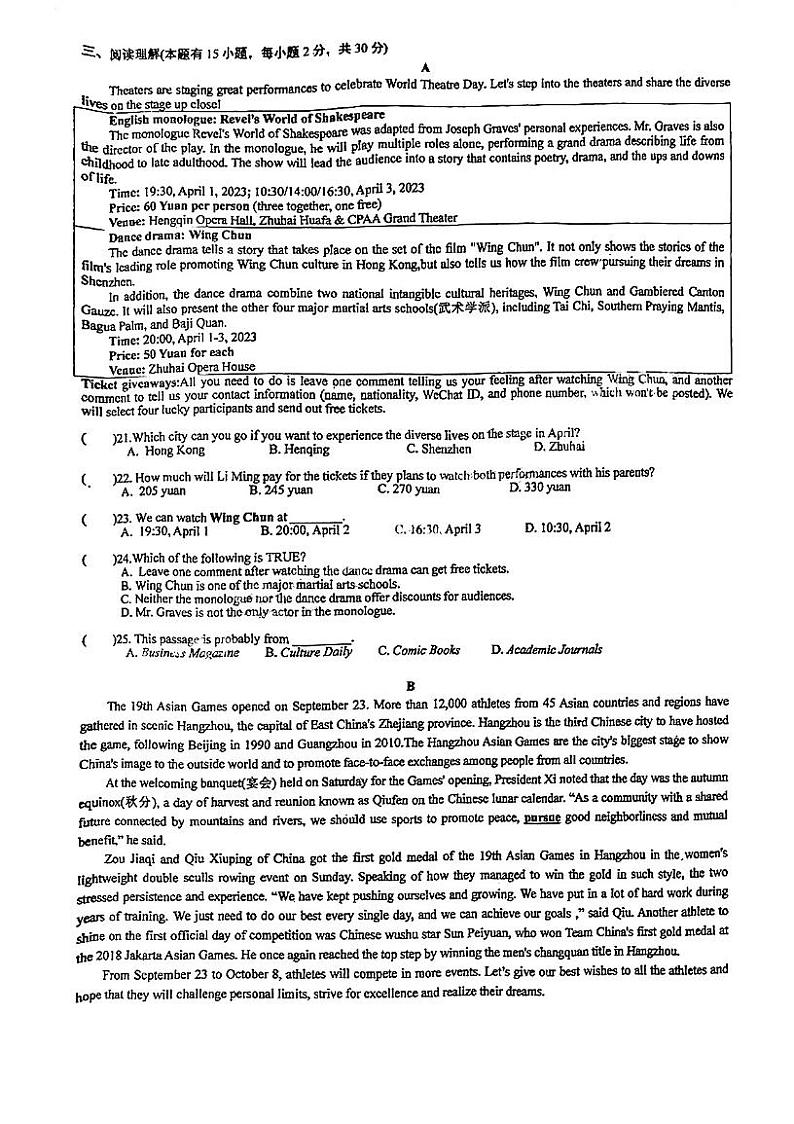
广东省珠海市第十一中学2023-2024学年九年级上学期10月月考英语试题
展开
这是一份广东省珠海市第十一中学2023-2024学年九年级上学期10月月考英语试题,共5页。
相关试卷
377,广东省珠海市第十一中学2023-2024学年九年级下学期开学考试英语试卷:
这是一份377,广东省珠海市第十一中学2023-2024学年九年级下学期开学考试英语试卷,共4页。
广东省珠海市第十一中学2023-2024学年九年级上学期期中英语试题:
这是一份广东省珠海市第十一中学2023-2024学年九年级上学期期中英语试题,共13页。试卷主要包含了语法填空,完形填空,阅读理解,短文填空,读写综合等内容,欢迎下载使用。
广东省珠海市第十一中学2023-2024学年九年级上学期11月期中英语试题:
这是一份广东省珠海市第十一中学2023-2024学年九年级上学期11月期中英语试题,共6页。

