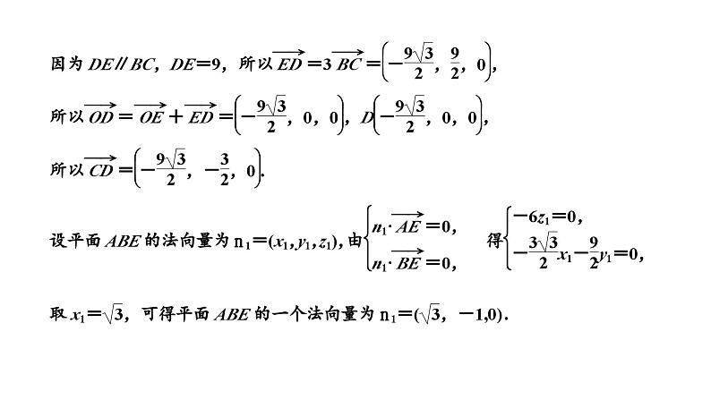
新高考数学一轮复习讲练课件7.5 第3课时 立体几何的综合性问题(含解析)
展开新高考数学一轮复习讲练课件8.3 第3课时 与圆有关的综合问题(含解析): 这是一份新高考数学一轮复习讲练课件8.3 第3课时 与圆有关的综合问题(含解析),共20页。
新高考数学一轮复习讲练课件7.5 第2课时 利用空间向量求空间角(含解析): 这是一份新高考数学一轮复习讲练课件7.5 第2课时 利用空间向量求空间角(含解析),共39页。
新高考数学一轮复习讲练课件7.5 第1课时 空间向量及其应用(含解析): 这是一份新高考数学一轮复习讲练课件7.5 第1课时 空间向量及其应用(含解析),共34页。

