2022届永州市高三数学模拟卷及参考答案二
展开2022届永州市高考模拟卷(二)
一、选择题:本题共8小题,每小题5分,共40分.在每小题给出的四个选项中,只有一项是符合题目要求的.
1.设,,则
A. B. C. D.
2.某胸科医院感染科有3名男医生和2名女医生,现需要从这5名医生中抽取2名医生成立一个临时新冠状病毒诊治小组,恰好抽到的2名医生都是男医生的概率为
A. B. C. D.
3.已知直线m、n和平面α,在下列给定的四个结论中,m//n的一个必要但不充分条件是
A. m//α,n//α B. m⊥α,n⊥α
C. m//α,n⊂α D. m、n与α所成的角相等
4.设,,,则
A. B. C. D.
5.已知抛物线的焦点与椭圆的一个焦点重合,则
A. B. C. D.
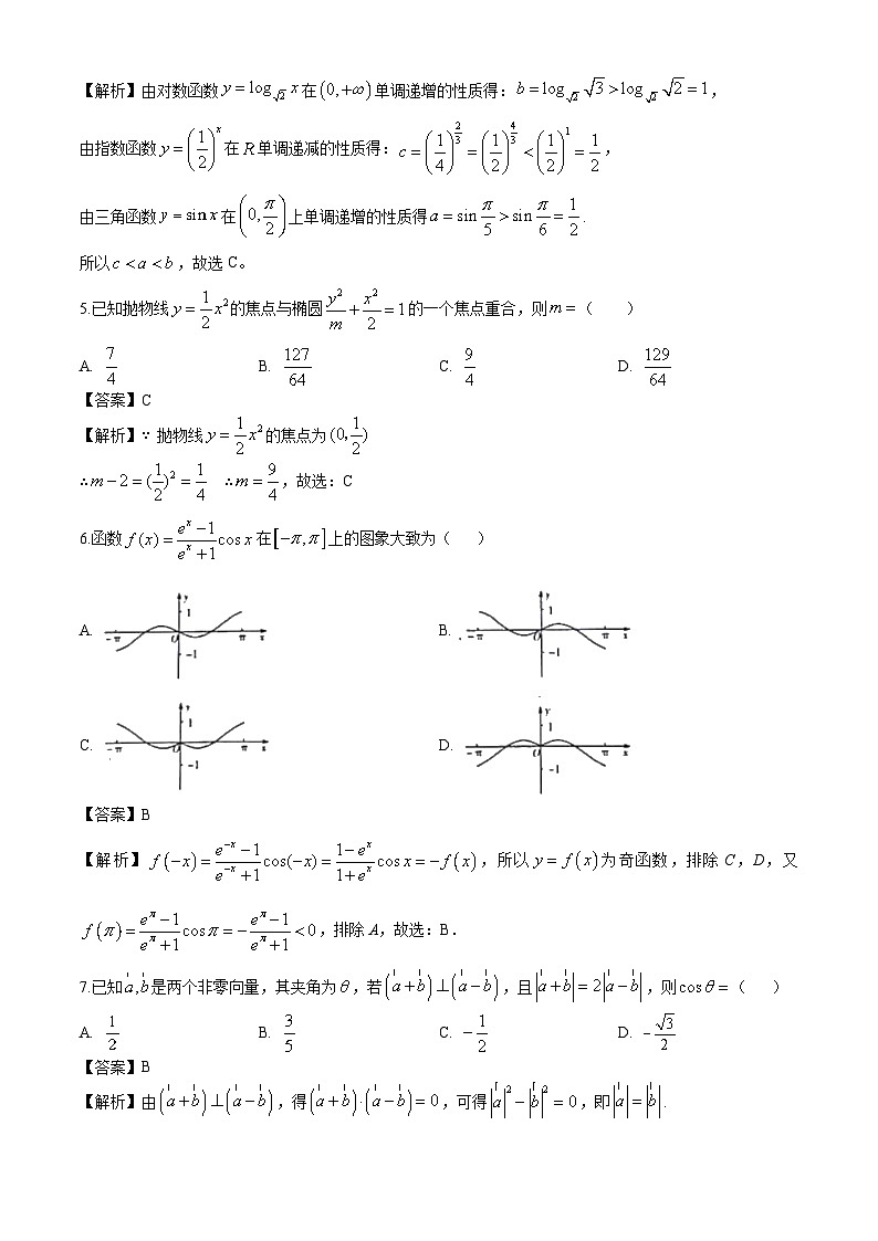
6.函数在上的图象大致为
A. B.
C. D.
7.已知是两个非零向量,其夹角为,若,且,则
A. B. C. D.
8. 已知函数的图象经过点,,当时,,记数列的前项和为,当时,的值为
A. 7 B. 6 C. 5 D. 4
二、选择题:本题共4小题,每小题5分,共20分.在每小题给出的选项中,有多项符合题目要求.全部选对的得5分,部分选对的得2分,有选错的得0分.
9.已知复数的实部为,则下列说法正确的是
A.复数的虚部为 B.
C.复数的共轭复数 D.在复平面内对应的点位于第三象限
10.若函数的图象关于直线对称,则
A. B. 函数的最大值为
C. 为函数的一个对称中心 D. 函数在上单调递增
11.下列命题中,下列说法正确的是
A.已知随机变量服从二项分布,若,则;
B.将一组数据中的每个数据都加上同一个常数后,方差恒不变;
C.设随机变量服从正态分布,若,则;
D.某人在10次射击中,击中目标的次数为,则当时概率最大.
12.已知函数.下列命题为真命题的是
A. 函数是周期函数 B. 函数既有最大值又有最小值
C. 函数的定义域是,且其图象有对称轴 D. 对于任意,单调递减
三、填空题:本题共4小题,每小题5分,共20分.
13.设,若展开式中的系数为,则_____________
14.已知圆锥的底面圆心到某条母线的距离为1,则该圆锥母线的长度取最小值时,该圆锥的体积为________.
15.设函数,则使得成立的的取值范围是_________.
16.在三棱锥中,平面,,,.三棱锥的所有顶点都在球的表面上,则球的半径为______;若点是的重心,则过点的平面截球所得截面的面积的最小值为______.
四、解答题:本题共6小题,共70分.解答应写出文字说明、证明过程或演算步骤.
17.数列的前项和为,已知,(,2,3,…).
(1)证明:数列是等比数列;
(2)求数列的前项和.
18.已知函数,.
(1)求函数的单调递减区间;
(2)在△中,若,且,,求△外接圆半径的长.
19.如图,已知三棱柱,平面平面,,分别是的中点.
(1)证明:;
(2)求直线与平面所成角的余弦值.
20.推进垃圾分类处理,是落实绿色发展理念的必然选择,也是打赢污染防治攻坚战的重要环节.为了解居民对垃圾分类的了解程度,某社区居委会随机抽取1000名社区居民参与问卷测试,并将问卷得分绘制频率分布表如下:
得分 | |||||||
男性人数 | 40 | 90 | 120 | 130 | 110 | 60 | 30 |
女性人数 | 20 | 50 | 80 | 110 | 100 | 40 | 20 |
(1)从该社区随机抽取一名居民参与问卷测试,试估计其得分不低于60分的概率;
(2)将居民对垃圾分类的了解程度分为“比较了解“(得分不低于60分)和“不太了解”(得分低于60分)两类,完成列联表,并判断是否有95%的把握认为“居民对垃圾分类的了解程度”与“性别”有关?
| 不太了解 | 比较了解 |
男性 |
|
|
女性 |
|
|
(3)从参与问卷测试且得分不低于80分的居民中,按照性别进行分层抽样,共抽取10人,连同名男性调查员一起组成3个环保宜传队.若从这中随机抽取3人作为队长,且男性队长人数占的期望不小于2.求的最小值.
附:
临界值表:
0.15 | 0.10 | 0.05 | 0.025 | 0.010 | 0.005 | 0.001 | |
2.072 | 2.706 | 3.841 | 5.024 | 6.635 | 7.879 | 10.828 |
21. 已知圆C方程为,椭圆中心在原点,焦点在x轴上.
(1)证明圆C恒过一定点M,并求此定点M的坐标;
(2)判断直线与圆C的位置关系,并证明你的结论;
(3)当时,圆C与椭圆的左准线相切,且椭圆过(1)中的点M,求此时椭圆方程;在x轴上是否存在两定点A,B使得对椭圆上任意一点Q(异于长轴端点),直线,的斜率之积为定值?若存在,求出A,B坐标;若不存在,请说明理由.
22.已知函数.
(1)当时,求的最小值;
(2)若对任意恒有不等式成立.证明:.
山东名校考试联盟高三数学模拟试题及参考答案: 这是一份山东名校考试联盟高三数学模拟试题及参考答案,文件包含山东名校考试联盟数学参考答案pdf、山东名校考试联盟数学试题pdf等2份试卷配套教学资源,其中试卷共12页, 欢迎下载使用。
2022届永州市高三数学模拟卷及参考答案三: 这是一份2022届永州市高三数学模拟卷及参考答案三,文件包含2022届永州市高三数学模拟卷答案三doc、2022届永州市高三数学模拟卷三doc等2份试卷配套教学资源,其中试卷共19页, 欢迎下载使用。
2023高考数学模拟试题(Fiddie卷)+参考答案: 这是一份2023高考数学模拟试题(Fiddie卷)+参考答案,文件包含2023高考模拟试题+参考答案Fiddie卷pdf、2023高考模拟试题Fiddie卷pdf等2份试卷配套教学资源,其中试卷共22页, 欢迎下载使用。

