四川省江油中学2022-2023学年高三数学(理)上学期第三次阶段考试试题(Word版附解析)
展开四川省江油中学2020级高三上期第三次阶段考试
理科数学
一、选择题:本大题共12小题,每小题5分,共60分.
1. 已知集合,,则集合的元素个数为( )
A. B. C. D.
【答案】C
【解析】
【分析】根据题意结合一元二次不等式求集合A,再利用集合的交集运算求解.
【详解】∵,
∴,即集合的元素个数为3.
故选:C.
2. “”是“”的( )
A. 充分不必要条件 B. 必要不充分条件
C. 充要条件 D. 既不充分也不必要条件
【答案】A
【解析】
【分析】根据指对、数函数的单调性结合充分、必要条件分析判断.
【详解】∵在上单调递增,
∴,
又∵在R上单调递增,
∴,
由可得,但由不能得到,例如,
故“”是“”的充分不必要条件.
故选:A.
3. 已知两个非零向量,的夹角为60°,且,则( )
A. B. C. D. 3
【答案】C
【解析】
【分析】根据向量的垂直关系可得,进而根据模长公式即可求解.
【详解】由得,
,
所以,
故选:C
4. 北京时间2021年10月16日0时23分,搭载神舟十三号载人飞船的长征二号F遥十三运载火箭,在酒泉卫星发射中心按照预定时间精准点火发射,约582秒后,神舟十三号载人飞船与火箭成功分离,进入预定轨道,顺利将翟志刚、王亚平、叶光富3名航天员送入太空,发射取得圆满成功.据测算:在不考虑空气阻力的条件下,火箭的最大速度v(单位:)和燃料的质量M(单位:)、火箭的质量(除燃料外)m(单位:)的关系是.为使火箭的最大速度达到8100,则燃料质量与火箭质量之比约为(参考数据)( )
A. 13 B. 14 C. 15 D. 16
【答案】B
【解析】
【分析】将火箭的最大速度8100代入中,结合对数、指数运算即可求得答案.
【详解】由题意可得,将火箭的最大速度8100代入中,
得:,即,
所以,故,
故选:B
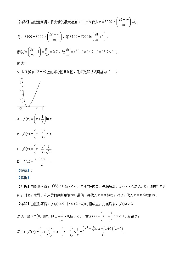
5. 某函数在上的部分图象如图,则函数解析式可能为( )
A.
B.
C.
D.
【答案】B
【解析】
【分析】由图形可得:当时恒成立,先减后增,.对A、C:通过符号判断;对B:求导,利用导数判断单调性和最值,并代入检验;对D:代入检验即可.
【详解】由图形可得:当时恒成立,先减后增,.
对A:当时,则,故,A错误;
对B:,
∵,则,
当时,则,则,当时,则,则,
∴上单调递减,在上单调递增,则,
又∵,则,B正确;
对C:当时,则,故,C错误;
对D:,D错误.
故选:B.
6. 在中,内角A,B,C所对的边分别为a,b,c,则下列结论错误的是( )
A 若,则
B. 若为锐角三角形,则
C. 若,则一定为直角三角形
D. 若,则可以是钝角三角形
【答案】D
【解析】
【分析】A.由正弦定理及三角形中大角对大边即可判断.
B.通过内角和为化简,再借助角为锐角得到角满足的关系,在再取角的正弦值化简即可.
C.边化角,运用两角差的正弦公式化简,得到角的关系,再借助内角和为计算即可得到.
D. 通过内角和为化简角,再利用两角和的正切公式化简即可得到
,然后判断即可.
【详解】A.因为,所以由正弦定理知,又因为在三角形中大角对大边,所以.故选项A正确.
B. 因为为锐角三角形,所以,即,所以.故选项B正确.
C.由正弦定理边化角得,则或(舍),则,即,则一定为直角三角形.故选项C正确.
D.
又因为最多只有一个角为钝角,所以,即三个角都为锐角,所以为锐角三角形.故选项D错误.
故选:D.
7. 已知数列的前n项和为,若,则不可能是( )
A. 公差大于0的等差数列 B. 公差小于0的等差数列
C. 公比大于0的等比数列 D. 公比小于0的等比数列
【答案】C
【解析】
【分析】根据等差数列前项和、等比数列前项和公式确定正确答案.
【详解】,则,
若是等差数列,设其公差为,,
所以,可正可负.
若是等比数列,设其公比为,
若,则是公比为的等比数列,满足.
当时,若,则,不成立.
若且,则,不成立
所以不可能是公比大于0的等比数列.
故选:C
8. 已知函数,函数的图象可以由函数的图象先向左平移个单位长度,再将所得函数图象保持纵坐标不变,横坐标变为原来的得到,若是函数的一个极大值点,是与其相邻的一个零点,则的值为( )
A. B. 0 C. 1 D.
【答案】C
【解析】
【分析】根据三角函数图象的变换,以及的极大值点和零点求得解析式,再求函数值即可.
【详解】函数的图象先向左平移个单位长度,得到的图象,
再将所得函数图象保持纵坐标不变,横坐标变为原来的得到的图象;
由题可知,,解得,则,又,
故可得,解得,
故.
故选:C.
9. 已知圆:,一条光线从点射出经轴反射,则下列结论不正确的是( )
A. 圆关于轴的对称圆的方程为
B. 若反射光线平分圆的周长,则入射光线所在直线方程为
C. 若反射光线与圆相切于,与轴相交于点,则
D. 若反射光线与圆交于,两点,则面积的最大值为
【答案】C
【解析】
【分析】对于A,由对称的性质直接求解即可,对于B,由题意可知入射光线所在的直线过点和,从而可求出直线方程,对于C,由题意可知反射光线所在的直线过点,则,然后由圆的性质可求出,进而可求得的值,对于D,设,,表示弦长和弦心距,可表示出面积,从而可求出其最大值
【详解】对于A,由圆方程可得,故圆心,半径,
圆关于轴对称的圆的圆心为,半径为,
所求圆的方程为:,即,A正确;
对于B,反射光线平分圆的周长,反射光线经过圆心,
入射光线所在直线经过点,,
入射光线所在直线方程为:,即,B正确;
对于C,反射光线经过点关于轴的对称点,
,
,则,C错误;
对于D,设,
则圆心到直线的距离,
,
,
则当时,,D正确.
故选:C.
10. 定义在上的奇函数的图象关于对称;且当时,.则方程所有的根之和为( )
A. 10 B. 12 C. 14 D. 16
【答案】A
【解析】
【分析】根据题意 函数为周期为4的周期函数,再根据当时,,求导分析函数的单调性,从而画出简图,根据函数的图象及性质求解零点和即可.
【详解】∵为奇函数,∴,又∵关于直线对称,∴函数为偶函数,故,所以,又,所以,故为周期函数,周期为4,
当时,,所以在上单调递增, 作函数图象如下
方程可化为,方程的解即函数的图象与函数的图象的交点的横坐标,作函数的图象,∴方程的所有实根之和为.
故选:A.
11. 已知双曲线:与抛物线:有公共焦点F,过F作双曲线一条渐近线的垂线,垂足为点A,延长FA与抛物线相交于点B,若点A为线段FB的中点,双曲线的离心率为,则( )
A. B. C. D.
【答案】B
【解析】
【分析】根据几何关系,求得点坐标,结合点在双曲线渐近线上,求得的等量关系,整理化简即可求得双曲线离心率.
【详解】根据题意,作图如下:
因为双曲线和抛物线共焦点,故可得,
又到的距离,即,又为中点,则,
设点,则,解得;由可得,
则由等面积可知:,解得,则,
则,又点在渐近线上,即,即,
又,联立得,即,解得,
故.
故选:B.
12. 已知函数,()的三个零点分别为,,,其中,的取值范围为()
A. B.
C. D.
【答案】D
【解析】
【分析】构造,结合零点个数及单调性求出,求出且,利用基本不等式得到,从而得到答案.
【详解】∵,令,即,()
令,(),则,
则,(),
令,(),
要想除1外再有两个零点,则在上不单调,
则,
解得:或,
当时,在恒成立,
则在单调递增,不可能有两个零点,
当时,设,即的两根为,且,
则有,故,
令,解得:或,令,解得:,
所以在,上单调递增,在上单调递减,
因为,所以,
又因为,
若,则,
因为,所以,
所以
,
因为,故.
检验:当时,(),,
此时在上单调递增,
又,即,此时为临界情况,;
综上:的取值范围为.
故选:D.
【点睛】利用导数研究零点问题:
(1)确定零点的个数问题:可利用数形结合的办法判断交点个数,如果函数较为复杂,可用导数知识确定极值点和单调区间从而确定其大致图象;
(2)方程的有解问题就是判断是否存在零点的问题,可参变分离,转化为求函数的值域问题处理.可以通过构造函数的方法,把问题转化为研究构造的函数的零点问题;
(3)利用导数研究函数零点或方程根,通常有三种思路:①利用最值或极值研究;②利用数形结合思想研究;③构造辅助函数研究.
二、填空题:本大题共4个小题,每小题5分,共20分
13. 已知是虚数单位,复数满足,则___________.
【答案】
【解析】
【分析】根据复数的除法运算化简,然后根据复数的模的公式化简求解.
【详解】因为,所以所以,
故答案为:.
14. 某学校志愿者协会有高一年级120人,高二年级100人,高三年级20人,现用分层抽样的方法从中抽取一个容量为的样本,若从高二年级100人中抽取的人数为10,则___________;
【答案】24
【解析】
【分析】由分层抽样等比例性质求样本容量.
【详解】由题意,,可得.
故答案为:24
15. 已知实数满足,,,则的最大值为___________.
【答案】
【解析】
【分析】设,为坐标原点,则,由题意两点在圆上,且三角形为等边三角形,,由的几何意义为两点到直线的距离与之和,记线段的中点分别是,到直线的距离为,根据,且即可得答案.
【详解】解:设,为坐标原点,则,
由,
可得两点在圆上,且,则,
所以三角形为等边三角形,,
的几何意义为两点到直线的距离与之和,
记线段的中点分别是,到直线的距离为,
则有,且,
所以,
所以的最大值为,
故答案为:.
16. 过平面内一点作曲线两条互相垂直的切线,,切点为,(,不重合),设直线,分别与y轴交于点A,B,则下列结论中正确的序号为______.
①两点的横坐标之积为定值;②直线的斜率为定值;
③线段AB的长度为定值;④三角形ABP面积的取值范围为.
【答案】①②③
【解析】
【分析】设点、的横坐标分别为、,且,分析可知或,利用导数的几何意义可判断①的正误;利用斜率公式可判断②的正误;求出点、的坐标,利用两点间的距离公式可判断③的正误;求出点的横坐标,利用三角形的面积公式可判断④的正误.
【详解】因为,
所以,当时,;当时,,
不妨设点、的横坐标分别为、,且,
若时,直线、的斜率分别为、,此时,不合乎题意;
若时,则直线、的斜率分别为、,此时,不合乎题意.
所以,或,则,,
由题意可得,可得,
若,则;若,则,不合乎题意,所以,,①对;
对于②,易知点、,
所以,直线的斜率为,②对;
对于③,直线的方程为,令可得,即点,
直线的方程为,令可得,即点,
所以,,③对;
对于④,联立可得,
令,其中,则,
所以,函数在上单调递增,则当时,,
所以,,④错.
故答案为:①②③
【点睛】本题主要考查了导数的几何意义的综合问题,需要根据题意设切点横坐标,并根据题意列式分析横坐标满足的关系式,同时也需要构造函数分析所求式的单调性于最值,属于难题.
三、解答题:共70分.解答应写出文字说明、证明过程或演算步骤
17. 近年来,新能源汽车产业大规模发展,某品牌汽车投人市场以来,受到多位消费者欢迎,汽车厂家为扩大销售,对旗下两种车型电池续航进行满意度调查,制作了如下2×2列联表.
不满意
满意
合计
男
18
女
40
合计
100
已知从全部100人中随机抽取1人调查满意度为满意的概率为
0.15
0.10
0.05
0.10
0.001
2.072
2.706
3.841
6.635
10.828
附:,其中.
(1)完成上面的2×2列联表;
(2)根据(2)中的2×2列联表,判断是否有90%的把握认为满意度与消费者的性别有关?
【答案】(1)详见解析
(2)没有90%的把握认满意度是否与消费者的性别有关.
【解析】
【分析】(1)根据从全部100人中随机抽取1人调查满意度为满意的概率为得到调查满意度为满意的人数,然后填2×2列联表即可;
(2)根据2×2列联表计算,然后判断即可.
【小问1详解】
根据题意,满意的总人数为,
∴完成2×2列联表如下:
不满意
满意
合计
男
18
30
48
女
12
40
52
合计
30
70
100
【小问2详解】∵,
∴没有90%的把握认满意度是否与消费者的性别有关.
18. 已知数列的首项,且满足,设.
(1)求证:数列为等比数列;
(2)若,求满足条件的最小正整数.
【答案】(1)证明见解析
(2)140
【解析】
【分析】(1)利用等比数列的定义证明即可;
(2)利用分组求和的方法得到,然后利用的增减性解不等式即可.
【小问1详解】
,
,所以数列为首项为,公比为等比数列.
【小问2详解】
由(1)可得
,
即
∴
而随着的增大而增大
要使,即,则,
∴的最小值为140.
19. 在△ABC中,.
(1)求B的值;
(2)给出以下三个条件:①;②,;③,若这三个条件中仅有两个正确,请选出正确的条件并回答下面问题:
(i)求的值;
(ii)求∠ABC的角平分线BD的长.
【答案】(1)
(2)正确条件为①③,(i),(ii)
【解析】
【分析】(1)利用和角正弦公式可得,结合三角形内角和性质即可求B的值;
(2)根据条件组合判断出正确条件为①③,(i)应用余弦定理、三角形面积公式求各边长,最后由正弦定理求;
(ii)由角平分线性质求得,再根据三角形内角和定理及两角和的正弦公式求出,再根据正弦定理求BD的长.
【小问1详解】
由题设,
而,
所以,故;
【小问2详解】
若①②正确,则,得或,
所以①②有一个错误条件,则③是正确条件,
若②③正确,则,可得,即②为错误条件,
综上,正确条件为①③,
(i)由,则,即,
又,可得,
所以,可得,则,
故;
(ii)因为且,得,
由平分得,
在中,,
在中,由,得.
20. 已知椭圆的左、右焦点分别为,,点在椭圆上,.若的周长为6,面积为.
(1)求曲线的方程;
(2)设动直线过定点与曲线交于不同两点,(点在轴上方),在线段上取点使得,证明:当直线运动过程中,点在某定直线上.
【答案】(1)
(2)证明见解析
【解析】
【分析】(1)根据的周长为6,面积为得到关于的方程计算可得答案;
(2)设,,,设,由,,转化为坐标运算和点在椭圆上计算可得答案.
【小问1详解】
由题意可知,解得,
从而,椭圆的方程为:;
【小问2详解】
设,,,设(,且),
所以,,
于是,,,,
从而①,②,
又点,在椭圆上,即,③,,④,
由并结合③④可得,即点总在定直线上.
21. 已知函数.
(1)若函数在处的切线与直线垂直,求的值;
(2)若存在三个极值点,,,且,求证.
【答案】(1);
(2)证明见解析.
【解析】
【分析】对函数进行求导,结合,求得的值;
由存在三个极值点,确定方程有两个不相等的实数根,且都不是,令,求导分析单调性,确定,分别求证和两部分成立.
【小问1详解】
解:由可知,函数的定义域为,
则,且,
解得.
【小问2详解】
解:,因为存在三个极值点,
所以方程有两个不相等的实数根,且都不是.
所以令,则,
当时,,所以单调递增,至多有一个实数根,
所以,令,得,令,得.
所以在上单调递减,在上单调递增.
所以,
所以.
因,,,
其中令,则,
所以在上单调递增,,所以,
因为,所以,即,所以
所以存在三个极值点,其中.
又因为,,则,,
即,
设代入上式得:,即,.
要证,即,
只需证,即证.
令,,
所以在上单调递增,
因为,所以,得证;
要证,即,只需证,
即证,则证,即,
只需证,
令,,
所以,
所以在上单调递减,因为,所以,得证.
综上所述,若存在三个极值点,,,且时,.
【点睛】本题中进行恒等变形得到,然后换元,令,不等式转化为是解题的关键,这类问题反复利用导数研究单调性,分步证明,综合性很强,属于难题.
选做题:共10分.请考生在第22、23题中任选一题作答.如果多做,则按所做的第一题记分.
22. 在平面直角坐标中,曲线的参数方程为(为参数,),以原点为极点,轴的正半轴为极轴建立极坐标系.
(1)求曲线的普通方程和极坐标方程;
(2)在平面直角坐标中,若过点且倾斜角为的直线与曲线交于两点,求证:成等差数列.
【答案】(1),
(2)证明见解析
【解析】
【分析】(1)利用消参法求曲线的普通方程,并注意y的取值范围,再利用求曲线的极坐标方程;(2)先求直线l的参数方程,根据直线参数方程的几何意义运算求解.
【小问1详解】
由得,代入整理得,即,
∵,则,,
故曲线的普通方程为,
又∵,则,
整理得
曲线的极坐标方程为
【小问2详解】
由题意可得:直线l的参数方程为(t为参数),
代入,整理得,
∴,,
则,
即,
∴成等差数列
23. 已知函数(),若函数的最小值为5.
(1)求的值;
(2)若均为正实数,且,求的最小值.
【答案】(1)
(2)
【解析】
【分析】(1)利用绝对值的代数意义去掉绝对值符号转化为分段函数,再利用分段函数的单调性求其最值即可求解;
(2)利用柯西不等式进行求解.
【小问1详解】
因为,
所以,
即,
则在内单调递减,在内单调递增,
所以,
由题意,得,
解得.
【小问2详解】
由(1)知,,
,
当且仅当、、时取等号,
所以的最小值为.
四川省绵阳市江油中学2023-2024学年高三上学期第三次阶段性考试数学试题(Word版附解析): 这是一份四川省绵阳市江油中学2023-2024学年高三上学期第三次阶段性考试数学试题(Word版附解析),共19页。试卷主要包含了单选题,多选题,填空题,解答题等内容,欢迎下载使用。
四川省江油中学2023-2024学年高三数学(理)上学期9月月考试题(Word版附解析): 这是一份四川省江油中学2023-2024学年高三数学(理)上学期9月月考试题(Word版附解析),共23页。试卷主要包含了 已知,则, 已知命题,命题,则, 函数的图象大致形状为., 已知命题p等内容,欢迎下载使用。
四川省江油中学2022-2023学年高二数学(理)下学期第一次阶段考试试题(Word版附解析): 这是一份四川省江油中学2022-2023学年高二数学(理)下学期第一次阶段考试试题(Word版附解析),共19页。试卷主要包含了单选题,填空题,解答题等内容,欢迎下载使用。

