2024江西省智学联盟体高三上学期第一次联考试题(8月)数学PDF版含解析
展开2024安徽省皖东智校协作联盟高三上学期10月联考试题数学PDF版含解析: 这是一份2024安徽省皖东智校协作联盟高三上学期10月联考试题数学PDF版含解析,文件包含安徽省皖东智校协作联盟2024届高三上学期10月联考数学答案和解析pdf、安徽省皖东智校协作联盟2024届高三上学期10月联考数学pdf等2份试卷配套教学资源,其中试卷共13页, 欢迎下载使用。
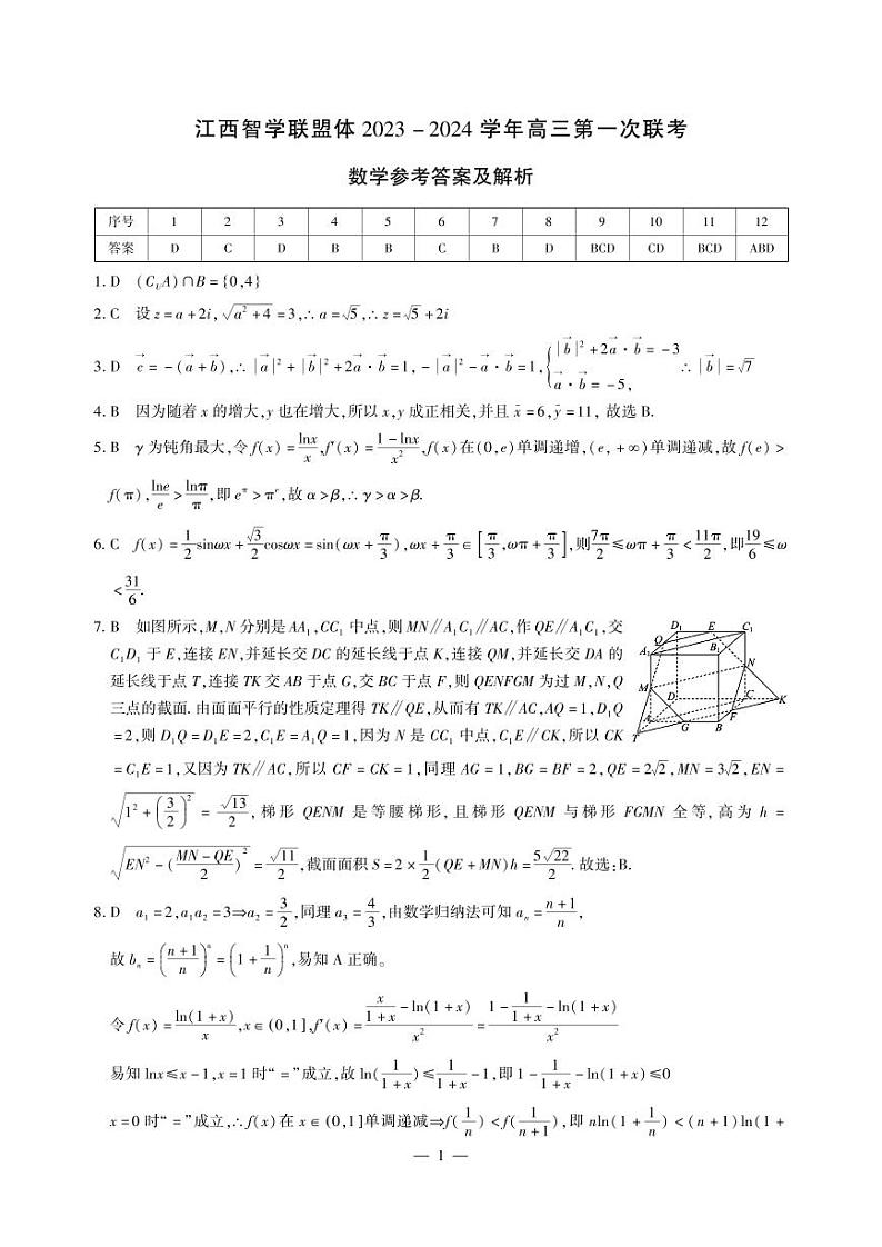
2023-2024学年江西省智学联盟体高三上学期第一次联考试题(8月)数学PDF版含答案: 这是一份2023-2024学年江西省智学联盟体高三上学期第一次联考试题(8月)数学PDF版含答案,文件包含江西智学联盟体2023-2024学年高三第一次联考数学答案和解析pdf、江西智学联盟体2023-2024学年高三第一次联考数学pdf等2份试卷配套教学资源,其中试卷共7页, 欢迎下载使用。
2023-2024学年江西省智学联盟体高三上学期第一次联考试题(8月)数学 PDF版: 这是一份2023-2024学年江西省智学联盟体高三上学期第一次联考试题(8月)数学 PDF版,文件包含江西智学联盟体2023-2024学年高三第一次联考数学答案和解析pdf、江西智学联盟体2023-2024学年高三第一次联考数学pdf等2份试卷配套教学资源,其中试卷共7页, 欢迎下载使用。

