四川省绵阳市南山中学实验学校2022-2023学年高一数学下学期6月月考试题(Word版附解析)
展开绵阳南山中学实验学校高2022级6月月考 数学
满分:150分 时间:120分钟
一、单选题((每小题5分,共40分,每小题只有一个正确选项)
1. 复数的虚部为( )
A. 3 B. 2 C. D.
【答案】C
【解析】
分析】根据复数的定义,即可求解.
【详解】的虚部为.
故选:C.
2. 已知向量,,若,则( )
A. 3 B. 5 C. 6 D. 9
【答案】C
【解析】
【分析】根据向量共线的坐标表示得出方程,求解即可得出答案.
【详解】根据已知可得,,解得.
故选:C.
3. 要得到函数的图象,只需将函数的图象( )
A. 向右平移个单位长度 B. 向右平移个单位长度
C. 向左平移个单位长度 D. 向左平移个单位长度
【答案】A
【解析】
【分析】根据三角函数的平移变换法则(左加右减)即可求解.
【详解】由于函数,所以要得到函数的图象,只需将函数的图象向右平移个单位长度.
故选:A.
4. 立体几何中的四个基本事实是学习立体几何的基础,下列四个命题中不是立体几何中的基本事实的是( )
A. 过不在一条直线上的三点,有且仅有一个平面
B. 如果一条直线上的两点在一个平面内,那么这条直线上的所有点都在这个平面内
C. 平行于同一条直线的两条直线平行
D. 垂直于同一条直线的两条直线平行
【答案】D
【解析】
【分析】由立体几何中的基本事实相关概念可判断各选项正误.
【详解】由选项内容可知,ABC选项为立体几何中的基本事实,D选项,垂直于同一条直线的两条直线可能异面,可能相交,可能平行,故D不是立体几何中的基本事实.
故选:D
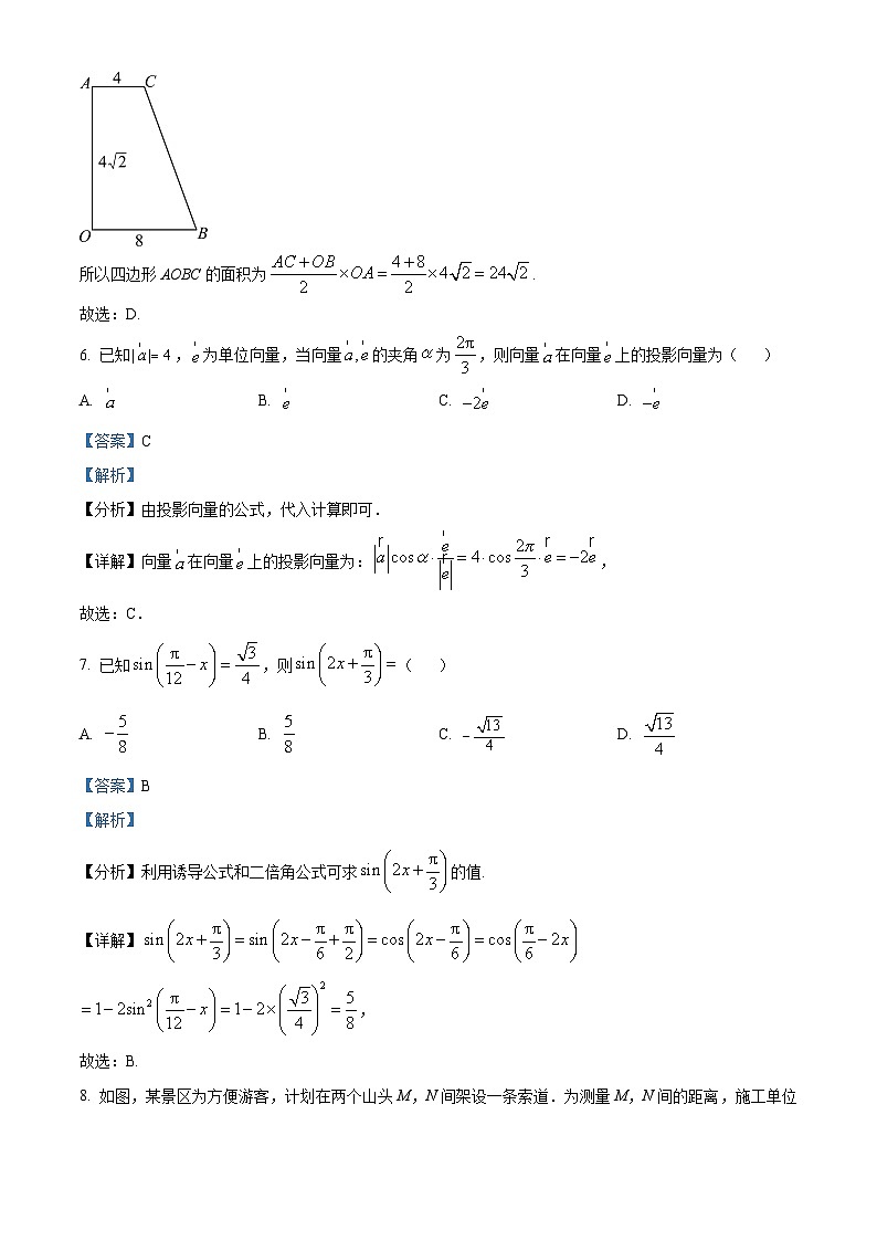
5. 若水平放置的四边形AOBC按“斜二测画法”得到如图所示的直观图,四边形为等腰梯形,,则原四边形AOBC的面积为( )
A. B. C. D.
【答案】D
【解析】
【分析】根据图像,由“斜二测画法”可得,四边形水平放置的直观图为直角梯形,进而利用相关的面积公式求解即可.
【详解】在直观图中,四边形为等腰梯形,,而,则,
由斜二测画法得原四边形AOBC是直角梯形,,,如图.
所以四边形AOBC的面积为.
故选:D.
6. 已知,为单位向量,当向量的夹角为,则向量在向量上的投影向量为( )
A. B. C. D.
【答案】C
【解析】
【分析】由投影向量的公式,代入计算即可.
【详解】向量在向量上的投影向量为:,
故选:C.
7. 已知,则( )
A. B. C. D.
【答案】B
【解析】
【分析】利用诱导公式和二倍角公式可求的值.
【详解】
,
故选:B.
8. 如图,某景区为方便游客,计划在两个山头M,N间架设一条索道.为测量M,N间的距离,施工单位测得以下数据:两个山头的海拔高度,在BC同一水平面上选一点A,测得M点的仰角为,N点的人仰角为,以及, 则M,N间的距离为( )
A. B. 120m C. D. 200m
【答案】A
【解析】
【分析】根据题意,在直角和直角中,分别求得和,再在中,利用余弦定理,即可求解.
【详解】由题意,可得,
且,
在直角中,可得,
在直角中,可得,
在中,由余弦定理得,
所以.
故选:A.
二、多选题(每小题5分,共20分,在每小题给出的选项中有多项符合题目要求,全部选对得5分,部分选对得2分,错选得0分)
9. 设为直线,,是两个不同的平面,下列命题中错误的是( )
A. 若,,则
B. 若,,则
C. 若,,则
D. 若,,则
【答案】ACD
【解析】
【分析】由空间线面关系,面面关系相关知识判断各选项正误即可.
【详解】设为直线,,是两个不同的平面.
对于,若,,则与相交或平行,故错误;
对于,若,,则,故正确;
对于,若,,则与相交,故错误;
对于,若,,则与相交、平行或,故错误.
故选:.
10. 在中,内角A,B,C所对的边分别为a,b,c,下列说法正确的是( )
A. 若,则
B. 若是锐角三角形,恒成立
C. 若,,,则符合条件的只有一个
D. 若为非直角三角形,则
【答案】AD
【解析】
【分析】由正弦定理可以判断A;借助诱导公式及正弦函数的单调性可以判断B;作出示意图判断C;根据两角和的正切公式可以判断D.
【详解】对A,由正弦定理可知,故选项A正确;
对B,因为三角形为锐角三角形,所以,
则,故选项B错误;
对C,如示意图,点A在射线上,,易得,
则,即符合条件的三角形有2个,故选项C错误;
对D,因为为非直角三角形,所以,
整理可得,故选项D正确.
故选:AD.
11. 关于函数,下列结论正确的是( )
A. 函数的最大值是
B. 函数在上单调递增
C. 函数的图象可以由函数的图象向右平移个单位得到
D. 若方程区间有两个实根,则
【答案】BCD
【解析】
【分析】先利用辅助角公式化简得,利用三角函数的图象与性质可逐一判定各选项.
【详解】,
显然当时,的最大值是3,故A错误;
令,则在上单调递增,故B正确;
根据三角函数的图象变换得:的图象向右平移个单位得到,故C正确;
,则由正弦函数图象与性质可知,,
解得:,故D正确;
故选:BCD
12. 如图,在棱长为1的正方体中,,分别为棱,的中点,为线段上一个动点,则( )
A. 存在点,使直线平面
B. 平面截正方体所得截面的最大面积为
C. 三棱锥的体积为定值
D. 存在点,使平面平面
【答案】AC
【解析】
【分析】对于A项,可以通过取的中点H、I,连接HI交于G点,判定即可;
对于B项,讨论截面的形状并计算各交线长来判定即可;
对于C项,通过等体积法转化即可判定;
对于D项,通过反证,利用面与面和面的交线PG、DH是否能平行来判定.
【详解】对于A项,如图所示,
取中点H、I,连接HI交于G点,此时,
由正方体的性质知:面,又,则面,
面,可得,
在正方形中,易知,,面,
所以平面,故A正确;
对于B项,若G点靠C远,如图一示,过G作,即截面为四边形EFQR,
显然该截面在G为侧面CB1的中心时取得最大,最大值为,
若G靠C近时,如图二示,G作KJEF,延长EF交、DA延长线于M、H,
连接MK、HJ交、AB于L、I,则截面为六边形EFIJKL,
若K,J为中点时六边形面积为,,即B错误;
对于C项,随着G移动但G到面的距离始终不变即,
故是定值,即C正确;
对于D项,如图所示,连接,H为侧面的中心,则面与面和面分别交于线PG、DH,
若存在G点使平面平面,则PGDH,又A1DCB1,
则四边形PGHD为平行四边形,即PD=GH,而PD>,
此时G应在延长线上,故D错误;
故选:AC
三、填空题(每小题5分,共20分)
13. 已知,______.
【答案】
【解析】
【分析】确定,,再计算模长得到答案.
【详解】,则,,则.
故答案为:.
14. 若,则的值是______.
【答案】
【解析】
【分析】用二倍角公式对、进行化简运算即可得出结论.
【详解】因为,所以,
,
所以.
故答案为:.
15. 在正四棱台中,,则该棱台的体积为________.
【答案】##
【解析】
【分析】结合图像,依次求得,从而利用棱台的体积公式即可得解.
【详解】如图,过作,垂足为,易知为四棱台的高,
因为,
则,
故,则,
所以所求体积为.
故答案为:.
16. 如图,已知球O的面上四点A,B,C,P,PA⊥平面ABC,AB⊥BC,AB=1,,,则球O的表面积等于____________.
【答案】
【解析】
【分析】将三棱锥补为正方体,由三棱锥的外接球是正方体的外接球求解.
【详解】解:将三棱锥补正方体如图所示:
则三棱锥的外接球是正方体的外接球,
外接球的直径为 ,
解得,
所以外接球的表面积为,
故答案为;
四、解答题
17. 已知向量.
(1)若,求实数的值;
(2)若与的夹角是钝角,求实数的取值范围.
【答案】(1)
(2)
【解析】
【分析】(1)根据题意求得,结合向量垂直数量积的表示,列出方程,即可求解;
(2)根据题意,利用且与不共线,结合向量的坐标表示和数量积的运算,即可求解.
【小问1详解】
解:由向量,可得,
因为,可得,解得.
【小问2详解】
解:由(1)知,,解得,
又由向量与不共线,可得,解得,
所以实数的取值范围是
18. 在正方体中,M,N分别是线段,BD的中点.
(1)求证:平面;
(2)若正方体的棱长为2,求三棱锥的体积.
【答案】(1)证明见解析
(2)
【解析】
【分析】(1)根据中位线定理,结合线面平行的判定定理,可得答案;
(2)根据面面垂直性质定理,可得三棱锥的高,根据三角形中线的性质,求得三棱锥的底面积,结合三棱锥的体积公式,可得答案.
【小问1详解】
连接,如下图:
是线段的中点,底面是长方形,是线段的中点,
又是线段的中点,在中,,
平面,平面,平面.
【小问2详解】
取的中点为,连接,如下图:
分别是线段的中点,在中,,,
又在正方体中,平面,平面,
为的中点,,
.
19. 已知的内角的对边分别为,,,且.
(1)求;
(2)若,的面积为,求的周长.
【答案】(1)
(2)
【解析】
【分析】(1)由正弦定理边化角,结合三角函数恒等式,由特殊角三角函数即可;
(2)根据(1)的结论,结合余弦定理,三角形面积公式即可得三角形周长.
【小问1详解】
因为,
由利用正弦定理可得:,
即;
又因为,
所以,即,
又,可得.
【小问2详解】
由余弦定理可得:,
即,
由面积,可得,
所以,
即,所以,
因此三角形的周长为:.
20. 已知四棱锥P-ABCD中,PA⊥底面ABCD,,AD=CD=1,∠BAD=120°,,∠ACB=90°.
(1)求证:BC⊥平面PAC;
(2)求直线PC与平面PAB所成的角的正弦值.
【答案】(1)证明见解析
(2)
【解析】
【分析】(1)通过证明,即可证明平面;
(2)过作于,则直线与平面所成的角为,然后解三角形求解即可.
【小问1详解】
因为底面,平面,则,
又因为,即,
,,平面,
所以平面.
【小问2详解】
过作于,连接,
因为底面,平面,则,
,平面,
所以平面,
所以直线与平面所成的角为,
因为,//,,
则,是等边三角形,可得,
又因为,在中,,中求得,
所以,
即直线与平面所成的角的正弦值为.
21. 已知函数的部分图象如图所示.
(1)求函数的解析式;
(2)将函数的图象向左平移个单位,得到函数的图象,若方程在上有解,求实数的取值范围.
【答案】(1)
(2)
【解析】
【分析】(1)根据函数的图象求得A和,再将代入求解;
(2)由(1)得到,再令,转化为二次方程求解.
【小问1详解】
解:由函数的图象知:,则,
所以,,
因为,
所以,则,
又因为,则,
所以;
【小问2详解】
由题意得:,
令,
则化为:,
即在上有解,
由对勾函数的性质得:,
所以.
22. 如图,经过村庄A有两条夹角为的公路,,根据规划,在两条公路之间的区域内建一工厂,分别在两条公路边上建两个仓库,(异于村庄),要求(单位:).
(1)当时,求线段的长度;
(2)设,当取何值时,工厂产生的噪音对居民的影响最小?(即工厂与村庄的距离最远)
【答案】(1);
(2).
【解析】
【分析】(1)在中求得,然后在中由勾股定理求得;
(2)在中由正弦定理求得,然后在中由余弦定理求得,再利用三角函数恒等变换,结合正弦函数性质得最大值.
【小问1详解】
,,则,又,
∴,,,
∴;
【小问2详解】
,则,
由正弦定理得,
由余弦定理得
,
由三角形知,,
当且仅当,即时,取得最大值3,工厂产生的噪音对居民的影响最小.
四川省绵阳市南山中学实验学校2022-2023学年高三下学期3月月考数学(文)试题(Word版附解析): 这是一份四川省绵阳市南山中学实验学校2022-2023学年高三下学期3月月考数学(文)试题(Word版附解析),共23页。试卷主要包含了考试结束后,将答题卡交回, 已知实数,满足,则的最大值为等内容,欢迎下载使用。
四川省绵阳市南山中学实验学校2022-2023学年高三下学期3月月考数学(理)试题(Word版附解析): 这是一份四川省绵阳市南山中学实验学校2022-2023学年高三下学期3月月考数学(理)试题(Word版附解析),共21页。试卷主要包含了考试结束后,将答题卡交回.等内容,欢迎下载使用。
四川省绵阳市南山中学实验学校2023-2024学年高一数学上学期10月月考试题(Word版附解析): 这是一份四川省绵阳市南山中学实验学校2023-2024学年高一数学上学期10月月考试题(Word版附解析),共14页。试卷主要包含了 考试结束后,将答题卡交回, 已知命题,则命题的否定为, 下列命题为真命题的是, 设,则“”是“”的, ,,若,则实数的取值范围是, 已知正实数满足,则的最小值是, 已知命题, 已知全集,集合,则等内容,欢迎下载使用。

