四川省绵阳南山中学2022-2023学年高一数学下学期期中考试试题(Word版附解析)
展开南山中学2023年春季2022级半期考试
数学试题
一、选择题(本大题共8个小题,每小题5分,共40分.在每小题给出的四个选项中,只有一项是符合题目要求的.)
1. 设复数 (其中为虚数单位),则复数 在复平面内对应的点位于( )
A. 第一象限 B. 第二象限 C. 第三象限 D. 第四象限
【答案】A
【解析】
【详解】试题分析:,对应的点为,在第一象限,故答案为A.
考点:复数的四则运算及几何意义.
2. 设,则大小关系( )
A. B.
C. D.
【答案】B
【解析】
【分析】根据正、余弦函数的单调性分析判断.
【详解】因为,且在上单调递增,
则,即;
又因为,且在上单调递减,
则,即,
且,所以
故选:B.
3. 在中,点D是AB的中点,则( )
A. B.
C. D.
【答案】D
【解析】
【分析】根据向量的加法和减法运算即可.
【详解】因为点D是AB的中点,
所以
所以
故选:D.
4. 在中,,,且BC边上的高等于,则( )
A. B. C. D.
【答案】C
【解析】
【分析】根据面积公式可求得边的长,由余弦定理可得边的长,于是由余弦定理可得的值.
【详解】若,BC边上的高等于
则
所以,由余弦定理得
所以,
则.
故选:C.
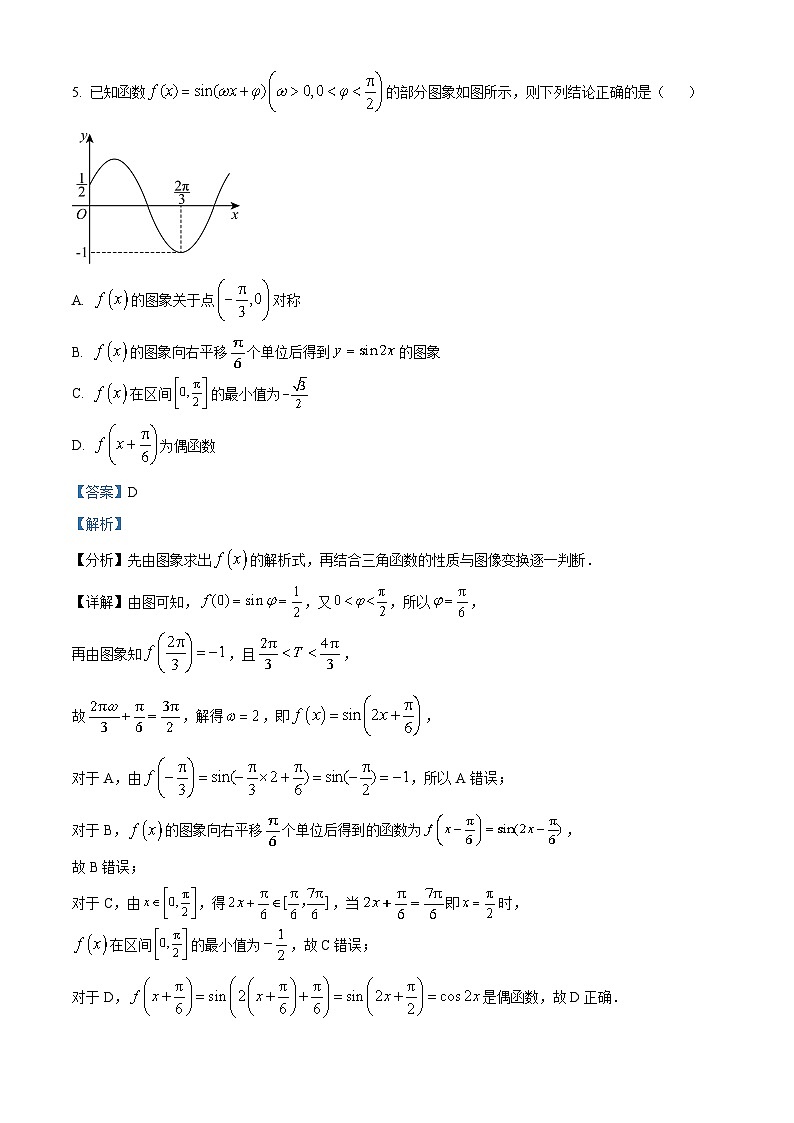
5. 已知函数的部分图象如图所示,则下列结论正确的是( )
A. 的图象关于点对称
B. 的图象向右平移个单位后得到的图象
C. 在区间的最小值为
D. 为偶函数
【答案】D
【解析】
【分析】先由图象求出的解析式,再结合三角函数的性质与图像变换逐一判断.
【详解】由图可知,,又,所以,
再由图象知,且,
故,解得,即,
对于A,由,所以A错误;
对于B,的图象向右平移个单位后得到的函数为,
故B错误;
对于C,由,得,当即时,
在区间的最小值为,故C错误;
对于D,是偶函数,故D正确.
故选:D.
6. 中国历史文化名楼之一的越王楼,位于四川省绵阳市游仙区涪江畔,更因历代诗人登楼作诗而流芳后世.如图,某同学为测量越王楼的高度,在越王楼的正东方向找到一座建筑物,高约为49m,在地面上点处(B,C,N三点共线)测得建筑物顶部A,越王楼顶部的仰角分别为和,在A处测得楼顶部的仰角为,则越王楼的高度约为( )
A. 69m B. 95m C. 98m D. 99m
【答案】C
【解析】
【分析】求出AC,,在△ACM中,由正弦定理求出m,从而得到MN的长度.
【详解】在中,(m),
在中,可知,
由正弦定理:,可得(m),
在中,(m),
所以越王楼的高度约为98m.
故选:C.
7. 若把函数的图象向左平移()个单位长度后,得到的图象,则m的最小值为( )
A. B. C. D.
【答案】C
【解析】
【分析】根据三角函数平移得,从而可得,即可得结论.
【详解】函数的图象向左平移个单位长度后为函数,
所以,则
又,所以m的最小值为.
故选:C.
8. 在直角中,,点M是外接圆上任意一点,则的最大值为( )
A. 6 B. 8 C. 10 D. 12
【答案】D
【解析】
【分析】由平面向量的线性运算,结合向量的数量积的运算公式,即可求解最大值,得到答案.
【详解】由题意,设△ABC的外心即BC中点为O,
由平面向量的线性运算,知,
所以=,
由图可知:==,
当时,,
,
故选:D.
【点睛】本题主要考查了平面向量的线性运算,以及平面向量的数量积的运算,其中解答中熟记向量的线性运算和平面向量的数量积的运算公式,合理运算是解答的关键,着重考查了推理与运算能力,属于中档试题.
二、多项选择题(每小题5分,共4小题,共20分.在每个小题给出的四个选项中,有多项符合题目要求.全对的得5分,部分选对的得2分,有选错的得0分.)
9. 已知复数,则下列说法正确的是( )
A. 的共轭复数是 B. 的虚部是
C. D.
【答案】AD
【解析】
【分析】根据复数的相关概念与运算逐项分析判断.
【详解】对于选项A:的共轭复数是,故A正确;
对于选项B:的虚部是1,故B错误;
对于选项C:,故C错误;
对于选项D:,故D正确;
故选:AD.
10. 已知两个单位向量、的夹角为,若,则把有序数对叫做向量的斜坐标,若,,则( )
A. B.
C. D.
【答案】AC
【解析】
【分析】根据向量线性运算、向量模的定义、数量积的定义判断.
【详解】由已知,,
因此,所以的斜坐标为,A正确;
,因此的斜坐标是,C正确;
,
,在与不垂直时,BD错;
故选:AC.
11. 已知函数,点和是其相邻的两个对称中心,且在区间内单调递减,则( )
A. B. C. D.
【答案】AD
【解析】
【分析】由正切函数的图象性质,得出相邻两个对称中心之间的距离为半个周期,可求出T,然后由求出,然后再代点讨论满足题意的,即可得出答案.
【详解】由正切函数图象的性质可知相邻两个对称中心的距离为,得.
则由得,即得.
由,且存在单调减区间,则可得,
∴.
由得,因,可得或,
当时,,
由,得,
则函数的单调减区间为,
令,由,得函数在上单调递减,
所以满足题意;
当时,,
由,得,
则函数的单调减区间为,
令,由,得函数在上单调递减,
所以满足题意;
综上可得:或满足题意.
故选:AD
【点睛】本题考查了正切函数图象性质的应用,分类讨论思想的应用,属于一般难度的题.
12. 已知的内角A,B,C所对边的长分别为a,b,c,O为的外心,,的面积S满足.若,则下列结论正确的是( )
A. B. C. D.
【答案】ACD
【解析】
【分析】结合题意和余弦定理得出,判断选项A;利用三角形面积公式判断选项B;利用平面向量的数量积运算判断选项C;利用平面向量的基本定理即可求解D
详解】由,得
,即
得,又,故,
∴,即所以A正确;
,所以B错误;
,所以C正确;
由,可知
得解得:,故,所以D正确.
故选:ACD.
三、填空题(本大题共4小题,每小题5分,共20分,把答案直接填在答题卡中的横线上.)
13. 已知向量,若,则________.
【答案】.
【解析】
【分析】先利用向量平行求出,进而求出.
【详解】因为向量,且,所以,解得:.
所以,所以.
故答案为:.
14. 在中,内角A,B,C所对的边分别为a,b,c,若,则_____________.
【答案】
【解析】
【分析】根据已知可化为余弦定理的形式,从而求出A的余弦,进而求出A.
【详解】由题意可知,,所以.
【点睛】本题主要考查了利用余弦定理公式求三角形角,属于中档题.
15. 已知cos(+α)=,,则的值为________.
【答案】
【解析】
【分析】首先化简目标式为,根据已知条件求出、,即可求值
【详解】
由知:,又
∴,
,,故
∴综上,有
故答案为:
【点睛】本题考查了利用三角恒等变换求函数值,注意正弦二倍角公式、和角公式化简目标式的应用,根据象限角判断相关角的函数值,进而求目标三角函数的值
16. 《周髀算经》中给出了弦图,所谓弦图是由四个全等的直角三角形和中间一个正方形拼成一个大的正方形.若图中直角三角形的两个锐角分别为,,且小正方形与大正方形的面积之比为,则______.
【答案】
【解析】
【分析】
设大正方形的边长为1,则根据两个正方形的面积比可求得小正方形的边长.表示出直角三角形两条直角边的关系,再由余弦的差角公式及同角三角函数关系式即可得解.
【详解】设大正方形的边长为1,则大正方形的面积为1
因为小正方形与大正方形的面积之比为
所以小正方形的面积为,则小正方形的边长为
由图可知
且,
两式相乘可得
化简可得
解得
故答案为:
【点睛】本题考查了三角函数的应用,余弦的和差公式及同角三角函数关系式的应用,关键在与理清边长与角的关系,属于中档题.
四、解答题(本大题共6小题,共70分.解答应写出文字说明、证明过程或演算步骤.)
17. 已知:.
(1)化简;
(2)若是第二象限角,且,求.
【答案】(1)
(2)
【解析】
【分析】(1)利用倍角公式化简即可;
(2)利用同角三角函数关系和两角和的余弦公式可得.
【小问1详解】
.
【小问2详解】
因为是第二象限角,所以,且,
所以,
故
.
18. 如图,在平面直角坐标系中,,,.
(1)求点B,C的坐标;
(2)求向量在向量上的投影向量坐标及四边形周长.
【答案】(1),
(2)8
【解析】
【分析】(1)根据点坐标及,结合三角函数定义即可得的的坐标,再根据可求C的坐标;
(2)根据投影向量的定义及向量的坐标运算可得投影向量坐标,根据坐标求模长即可得四边形周长.
【小问1详解】
在平面直角坐标系中,由,知,
又,,
设,则,,点
又,,点
【小问2详解】
由(1)可得,,,.
,,又,,
向量在向量上的投影向量:
,,,
四边形的周长为8.
19. 在中,角,,的对边分别为,,,且,.
(1)若,求的值;
(2)若的面积为,求的值.
【答案】(1)
(2)
【解析】
【分析】(1)利用正弦定理求解即可;
(2)利用三角形面积公式和余弦定理求解即可.
【小问1详解】
由题意在中,,,,
由正弦定理可得
【小问2详解】
由,,,即,
解得,
由余弦定理,
可得.
20. 已知向量与不共线,且,,.
(1)若,求m,n的值;
(2)若A,B,C三点共线,求的最大值.
【答案】(1),
(2)
【解析】
【分析】(1)由已知求得,再根据向量的线性运算可求得答案;
(2)由A,B,C三点共线得,存在不为零的数,使得,继而有,再得,根据二次函数的性质可求得其最大值.
【小问1详解】
因为,,所以,
又因为,所以,.
【小问2详解】
,,
由A,B,C三点共线,存在不为零的数,使得,
即,
则,,
所以,,
所以,
所以当时,取得最大值.
21. 已知函数.
(1)求的值;
(2)在锐角中,角A,B,C所对边的长分别为a,b,c.若,a=2,求的取值范围.
【答案】(1)
(2)
【解析】
【分析】(1)运用三角函数的恒等变换,可得,即可求解的值;
(2)由,可推得,再结合正弦定理与三角函数图象性质,即可求解的取值范围.
【小问1详解】
,
所以
【小问2详解】
,在锐角三角形中,
所以,故,
,由正弦定理
又,及,,,
则
22. 如图,矩形中,,点分别在线段(含端点)上,为的中点,,设.
(1)求角的取值范围;
(2)求出的周长关于角的函数解析式,并求的周长的最小值及此时的值.
【答案】(1)
(2);当时,的周长取得最小值为
【解析】
【分析】(1)由图形可知当点位于点时,角取最大值,当点位于点时,角取最小值,求解即可.
(2)结合图形中的直角三角形,利用三角函数和勾股定理,把的三条边用角表示,可求出,再利用换元法,通过函数单调性求最小值.
【小问1详解】
由题意,当点位于点时,角取最大值,此时,
因为,所以,
当点位于点时,由对称性知取最大值,角取最小值,
所以角的取值范围是.
【小问2详解】
在直角中,,
在直角中,且,所以,
在直角中,由勾股定理得,,
因为,所以,所以,
所以,
令,因为,所以,
又由,
可得,且在上单调递减,
当时,,此时,即,
综上,当时,的周长取得最小值,最小值为.
【点睛】易错点睛:平面几何与三角函数结合的题目,在三角函数这一部分,要注意角的取值范围,要与几何图形表示的结果相一致,特别是求范围和最值的内容.
四川省绵阳市南山中学实验学校2022-2023学年高一数学下学期期中考试试题(Word版附解析): 这是一份四川省绵阳市南山中学实验学校2022-2023学年高一数学下学期期中考试试题(Word版附解析),共18页。试卷主要包含了单选题,多选题,填空题,解答题等内容,欢迎下载使用。
四川省绵阳南山中学2022-2023学年高一数学上学期期末试题(Word版附解析): 这是一份四川省绵阳南山中学2022-2023学年高一数学上学期期末试题(Word版附解析),共16页。试卷主要包含了单选题,多选题,填空题,解答题等内容,欢迎下载使用。
四川省绵阳南山中学2022-2023学年高一数学下学期期中考试试题(Word版附答案): 这是一份四川省绵阳南山中学2022-2023学年高一数学下学期期中考试试题(Word版附答案),共9页。试卷主要包含了选择题,多项选择题,填空题等内容,欢迎下载使用。

