2024年高考物理第一轮复习:易错题集锦12交流电、电磁振荡、电磁波
展开这是一份2024年高考物理第一轮复习:易错题集锦12交流电、电磁振荡、电磁波,共7页。
第12单元:交流电、电磁振荡、电磁波
[内容和方法]
本单元内容包括交流电、正弦交流电的图象、最大值、有效值、周期与频率、振荡电路,电磁振荡、电磁场,电磁波,电磁波的速度等基本概念,以及交流发电机及其产生正弦交流电的原理,变压器的原理,电能的输送方法、LC电路产生的电磁振荡的周期和频率等。
本单元涉及到的基本方法有利用空间想象的各种方法理解正弦交流电的产生原因和电磁振荡的物理过程,运用图象法理解并运用它来解决交流电和电磁振荡的判断、计算问题。从能量转化的观点出发来理解交流电的有效值问题和电磁振荡问题。
[例题分析]
在本单元知识应用的过程中,初学者常犯的错误主要表现在:不能从能的转化的角度理解有效值,致使出现乱套公式的问题;由于初始条件不清,对电磁振荡物理过程判断失误;不善于运用两个图象对一个物理过程进行动态分析。
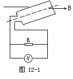
例1 如图12-1所示,矩形线圈在外力的作用下,在匀强磁场中以ω=200πrad/s的角速度匀速转动,线圈的面积为100cm2,匝数n=500匝,负载电阻R=30Ω,磁场的磁感强度B=0.2T。交流电压表的示
磁力矩的大小。

【错解分析】
错解一:
![]()
错解二:

解得M=8.66 N·m
错解一中用电流的有效值计算某一瞬间线圈的电磁力矩是错误的。
![]()
解法二中没有注意到另一个隐含条件“线圈平面与磁感线垂直时开始计时”而导致上当。
【正确解答】
本题有三个隐含条件:一为“瞬时”。二为线圈平面与磁感线垂直时开始计时,三为电路是纯电阻的电路。
M=nBISsinωt

解得:M=10N·m
【小结】
审题时要注意关键词的物理意义。并且能在头脑中把文字叙述的物
以及线圈在此位置的受力情况,力臂情况标在图上。这样解题,就会言之有物,言之有据。
例2 图12-2表示一交流电的电流随时间而变化的图象,此交流电的有效值是: [ ]


【错解分析】错解:
平均值(如图12-3),


有效值才有这样的数量关系。本题所给的交流电的图象不是正弦交流电的图形,故该公式不适用此交流电。第二,交流电的最大值不是两个不同峰值的算术平均值。
【正确解答】
交流电的有效值是根据其热效应而定义的,它是从电流产生焦耳热相等的角度出发,使交流电与恒定电流等效。设交流电的有效值为I,
所以该交流电的有效值为
所以应选D。
![]()
【小结】
上两道题的小结等效是有条件的。请注意每一种等效方法的成立条件和适用范围。
例3 如图12-4所示,矩形线圈abcd在磁感强度B=2T的匀强磁场中绕轴OO′,以角速度ω=10πrad/s匀速转动,线圈共10匝,ab=0. 3m,bc= 0.6m,负载电阻R= 45Ω。求(l)电阻R在0.05s内所发出的热量;(2)0.05s内流过的电量(设线圈从垂直中性面开始转动)

【错解分析】
错解一:
第一步,求电流的有效值,用有效值来计算热量。
电动势的最大值为
εm=2nBLv=nBSε=10×2×0.3×0.6×10π=113.1(V)
电流的有效值
![]()
所以0.05s内R上发出的热量Q=I2Rt=5.76(J)
第二步,根据有效值求通过R上的电量,由题意0.05s内通过R的电流方向不变
q=It=1.6×0.05=0.08(C)
错解二:
第一步求平均电流,用平均电流计算热量。

第二步,由平均电流求电量
![]()
交流电的有效值是从电流产生焦耳热相等的角度出发,使交流电与恒定电流等效;交流电的平均值是从电流通过导线横截面的电量相等的角度出发,使交流电与恒定电流等效,两个概念的出发点不同。
【正确解答】
电动势的最大值为εm= 2nBLv=nBSω=10×20.3×0.6×10π=113.1(V)
![]()
所以0.05s内R上发出的热量Q=I2Rt=5.76(J)

例4 图12-5中,降压变压器的变压系数是3,即初级线圈匝数与次级线圈的匝数之比是3。初级线圈的输入电压是660V,次级线圈的电阻为0.2Ω,这台变压器供给100盏220V,60W的电灯用电。
求:
(l)空载时次级线圈的端电压和输出功率;
(2)接通时次级线圈的端电压;
(3)每盏灯的实际功率

【错解分析】错解:
![]()
![]()
![]()
(2)接通时,次级线圈的端电压仍为220V。

原因:
(1)变压器空载时,电路的电流为零,无能量的转化,不能用P=![]()
(2)接通后次级线圈有电阻要消耗电能,由于次级线圈内部存在电压降,所以次级线圈的端电压不再是220V,而应以次级线圈为研究对象应用闭合电路欧姆定律去求次级线圈的端电压。
(3)由于次级线圈的端电压达不到灯泡的额定电压,灯泡的实际功率要小于每盏灯的额定功率。
【正确解答】
(1)将变压器视为理想变压器。设空载时次级线圈的端电压为U2。
![]()
因为空载,次级线圈的负载电阻R2→∞,次级线圈中的电流为零I2=0,P=I2U2=0

次级线圈的端电压U′2=I2R外=214.68(V)
![]()
【小结】
理解能力的高低表现在把握文字的物理意义上。题文中说“次级线圈的电阻为0.2Ω”。可见文中所述的变压器有内耗,不是理想变压器。这是课本上没有介绍过的新情况。类比直流电路的知识,可从两条路去求路端电压,U=ε-Ir(电源电动势减去内电压),或者用部分欧姆定律U=IR。
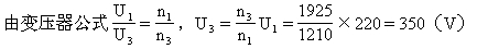
例5收音机的变压器的初级线圈有1210匝,接在U1=220V的交流电源上,变压器有两个次级线圈。次级线圈Ⅱ的匝数为35匝,次级线圈Ⅲ的匝数是1925匝。如果不计变压器自身的能量损耗,当变压器工作时,线圈Ⅱ的电流是0.3A时,初级线圈的电流I1=0.114A。求线圈Ⅲ中电流和输出电压(电流的计算结果保留3位有效数字)
【错解分析】错解:
![]()
![]()
能量守恒定律,从输入功率等于输出功率入手求解。
【正确解答】
![]()
不计变压器自身的能量损耗,由能量转化和守恒定律
P1=P2+P3
I1U1=I2U2+I3U3
![]()
【小结】
守恒定律P1=P2,I1U1=I2U2才有这个形式。不能死记硬背,不顾条件乱套公式。
相关试卷
这是一份2024年高考物理第一轮复习:易错题集锦13光学,共14页。
这是一份2024年高考物理第一轮复习:易错题集锦12交流电、电磁振荡、电磁波,共7页。
这是一份2024年高考物理第一轮复习:易错题集锦10磁场,共16页。

