2022-2023学年广西省河池市七年级数学第二学期期末质量检测模拟试题含答案
展开2022-2023学年广西省河池市七年级数学第二学期期末质量检测模拟试题
(时间:120分钟 分数:120分)
学校_______ 年级_______ 姓名_______
注意事项:
1.答卷前,考生务必将自己的姓名、准考证号、考场号和座位号填写在试题卷和答题卡上。用2B铅笔将试卷类型(B)填涂在答题卡相应位置上。将条形码粘贴在答题卡右上角"条形码粘贴处"。
2.作答选择题时,选出每小题答案后,用2B铅笔把答题卡上对应题目选项的答案信息点涂黑;如需改动,用橡皮擦干净后,再选涂其他答案。答案不能答在试题卷上。
3.非选择题必须用黑色字迹的钢笔或签字笔作答,答案必须写在答题卡各题目指定区域内相应位置上;如需改动,先划掉原来的答案,然后再写上新答案;不准使用铅笔和涂改液。不按以上要求作答无效。
4.考生必须保证答题卡的整洁。考试结束后,请将本试卷和答题卡一并交回。
一、选择题:本大题共12个小题,每小题3分,共36分.在每小题给出的四个选项中,只有一项是符合题目要求的.
1.已知m2-n2=mn,则
的值等于( )
A.1 B.0 C.-1 D.-![]()
2.如图,
,点
是
垂直平分线的交点,则
的度数是( )

A.
B.![]()
C.
D.![]()
3.若分式
有意义,则实数
的取值范围是( )
A.x=2 B.x=-2 C.x≠2 D.x≠-2
4.点A(3,y1)和点B(﹣2,y2)都在直线y=﹣2x+3上,则y1和y2的大小关系是( )
A.y1>y2 B.y1<y2 C.y1=y2 D.不能确定
5.如果小磊将镖随意投中如图所示的正方形木板(假设投中每个小正方形是等可能的),那么镖落在阴影部分的概率为( )

A.
B.
C.
D.![]()
6.学习了正方形之后,王老师提出问题:要判断一个四边形是正方形,有哪些思路?
甲同学说:先判定四边形是菱形,再确定这个菱形有一个角是直角;
乙同学说:先判定四边形是矩形,再确定这个矩形有一组邻边相等;
丙同学说:判定四边形的对角线相等,并且互相垂直平分;
丁同学说:先判定四边形是平行四边形,再确定这个平行四边形有一个角是直角并且有一组邻边相等.
上述四名同学的说法中,正确的是()
A.甲、乙 B.甲、丙 C.乙、丙、丁 D.甲、乙、丙、丁
7.在直角坐标系中,若点P(2x-6,x-5)在第四象限,则x的取值范围是( )
A.3<x<5 B.-5<x<3 C.-3<x<5 D.-5<x<-3
8.我国南宋著名数学家秦九韶的著作《数书九章》里记载有这样一道题:“问有沙田一块,有三斜,其中小斜五里,中斜十二里,大斜十三里,欲知为田几何?”这道题讲的是:有一块三角形沙田,三条边长分别为5里,12里,13里,问这块沙田面积有多大?题中“里”是我国市制长度单位,1里=500米,则该沙田的面积为( )
A.7.5平方千米 B.15平方千米 C.75平方千米 D.750平方千米
9.如图,菱形ABCD中,AB=4,E,F分别是AB、BC的中点,P是AC上一动点,则PF+PE的最小值是( )

A.3 B.
C.4 D.![]()
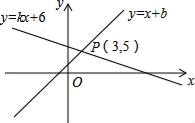
10.如图,直线y=x+b与直线y=kx+b交于点P(3,5),则关于x的不等式x+b>kx+6的解集是( )

A.x>3 B.x<3 C.x≥3 D.x≤3
11.为了解某种电动汽车一次充电后行驶的里程数,抽检了10辆车,统计结果如图所示,则在一次充电后行驶的里程数这组数据中,众数和中位数分别是( )

A.220,220 B.220,210 C.200,220 D.230,210
12.如图,函数y=mx+n和y=﹣2x的图象交于点A(a,4),则方程mx+n=﹣2x的解是( )

A.x=﹣2 B.x=﹣3 C.x=﹣4 D.不确定
二、填空题(每题4分,满分20分,将答案填在答题纸上)
13.过多边形某个顶点的所有对角线,将这个多边形分成
个三角形,这个多边形是________.
14.若点A(﹣2,4)在反比例函数
的图像上,则k的值是____.
15.函数
自变量
的取值范围是 _______________ .
16.把一个转盘平均分成三等份,依次标上数字1、2、3,自由转动转盘两次,把第一次转动停止后指针指向的数字记作x,把第二次转动停止后指针指向的数字记作y,则x与y的和为偶数的概率为______.

17.如图,把一张长方形的纸沿对角线BD折叠后,顶点A落在A′处,已知∠CDA′=28°,则∠CBD=______________.

三、解答题 (本大题共7小题,共64分.解答应写出文字说明、证明过程或演算步骤.)
18.(5分)先化简,再求值:
(1)
,其中
.
(2)
,并在2,3,4,5这四个数中取一个合适的数作为
的值代入求值.
19.(5分)如图,在
中,
,
于
,
平分
,分别交
,
于
,
,
于
.连接
,求证:四边形
是菱形.

20.(8分)已知:梯形
中,
,联结
(如图1). 点
沿梯形的边从点
移动,设点
移动的距离为
,
.
(1)求证:
;
(2)当点
从点
移动到点
时,
与
的函数关系(如图2)中的折线
所示. 试求
的长;
(3)在(2)的情况下,点
从点
移动的过程中,
是否可能为等腰三角形?若能,请求出所有能使
为等腰三角形的
的取值;若不能,请说明理由.

21.(10分)如图,点
、
分别在矩形
的边
、
上,把这个矩形沿
折叠后,点
恰好落在
边上的
点处,且
.
(1)求证:
;
(2)连接
、
,试证明:
.

22.(10分)如图,在平面直角坐标系
中,矩形
的顶点
坐标为
,点
在
边上从点
运动到点
,以
为边作正方形
,连
,在点
运动过程中,请探究以下问题:

(1)
的面积是否改变,如果不变,求出该定值;如果改变,请说明理由;
(2)若
为等腰三角形,求此时正方形
的边长.
23.(12分)分解因式
(1)20a3-30a2
(2)25(x+y)2-9(x-y)2
参考答案
一、选择题:本大题共12个小题,每小题3分,共36分.在每小题给出的四个选项中,只有一项是符合题目要求的.
1、C
2、B
3、D
4、B
5、A
6、D
7、A
8、A
9、C
10、A
11、A
12、A
二、填空题(每题4分,满分20分,将答案填在答题纸上)
13、![]()
14、-8
15、x>-3
16、![]()
17、31°
三、解答题 (本大题共7小题,共64分.解答应写出文字说明、证明过程或演算步骤.)
18、(1)
,
;(2)
,
时,原式
.或(则
时,原式
)
19、详见解析
20、(1)证明见解析;(2)
;(3)
,
,
,
,
或![]()
21、 (1)见解析;(2)见解析.
22、(1)不变,
;(2)正方形ADEF的边长为
或
或
.
23、(1)10a2(2a﹣3)(2)4(4x+y)(x+4y)
广西省南宁市2022-2023学年七下数学期末质量检测模拟试题含答案: 这是一份广西省南宁市2022-2023学年七下数学期末质量检测模拟试题含答案,共7页。试卷主要包含了正六边形的每个内角度数为等内容,欢迎下载使用。
广西省河池市2022-2023学年七年级数学第二学期期末调研试题含答案: 这是一份广西省河池市2022-2023学年七年级数学第二学期期末调研试题含答案,共7页。
广西河池市巴马县2022-2023学年七年级数学第二学期期末质量检测模拟试题含答案: 这是一份广西河池市巴马县2022-2023学年七年级数学第二学期期末质量检测模拟试题含答案,共6页。试卷主要包含了如图等内容,欢迎下载使用。

