- 2023湖州高二下学期期末英语试题含解析 试卷 0 次下载
- 2023湖州高二下学期期末数学试题含解析 试卷 0 次下载
- 2023湖州高二下学期期末地理试题含解析 试卷 0 次下载
- 2023湖州高二下学期期末生物试题含解析 试卷 0 次下载
- 2023湖州高二下学期期末物理试题含解析 试卷 0 次下载
2023湖州高二下学期期末考试物理试题扫描版含答案
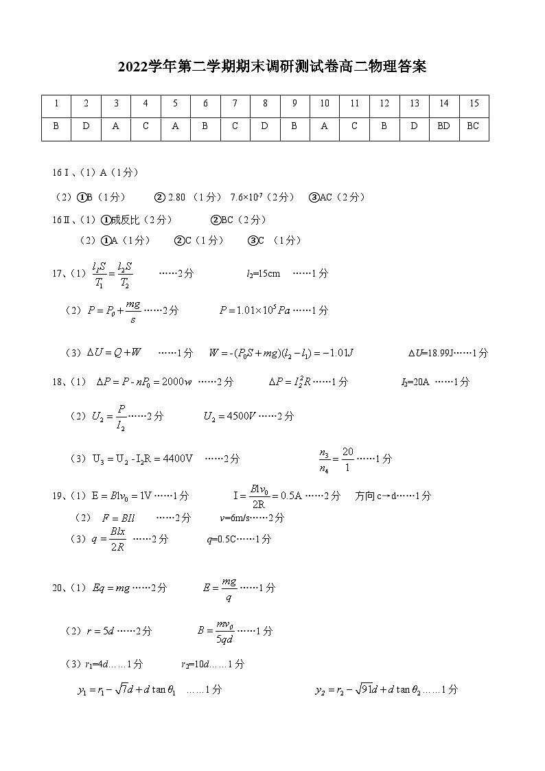
展开2022学年第二学期期末调研测试卷高二物理答案
1 | 2 | 3 | 4 | 5 | 6 | 7 | 8 | 9 | 10 | 11 | 12 | 13 | 14 | 15 |
B | D | A | C | A | B | C | D | B | A | C | B | D | BD | BC |
16Ⅰ、(1)A(1分)
(2)①B(1分) ② 2.80 (1分) 7.6×10-7(2分) ③AC(2分)
16Ⅱ、(1)①成反比(2分) ②BC(2分)
(2)①A(1分) ②C(1分) ③C (1分)
17、(1) ……2分 l2=15cm ……1分
(2)……2分 ……1分
(3) ……1分 ∆U=18.99J……1分
18、(1) ……2分 ……1分 I2=20A ……1分
(2)……2分 ……2分
(3) ……2分 ……1分
19、(1)……1分 ……2分 方向c→d……1分
(2) ……2分 v=6m/s……2分
(3) ……2分 q=0.5C……1分
20、(1)……2分 ……1分
(2)……2分 ……1分
(3)r1=4d……1分 r2=10d……1分
……1分 ……1分
2020湖州高二上学期期末物理试题扫描版含答案: 这是一份2020湖州高二上学期期末物理试题扫描版含答案,共9页。试卷主要包含了选择题Ⅰ,选择题Ⅱ,实验题,计算题等内容,欢迎下载使用。
2020湖州高二下学期期末物理试题图片版扫描版含答案: 这是一份2020湖州高二下学期期末物理试题图片版扫描版含答案,文件包含浙江省湖州市2019-2020学年高二下学期期末调研测试物理试题图片版pdf、高二物理期末卷参考答案pdf等2份试卷配套教学资源,其中试卷共10页, 欢迎下载使用。
2021湖州高二下学期期末物理试题扫描版含答案: 这是一份2021湖州高二下学期期末物理试题扫描版含答案,共10页。

