2023届广东省深圳市福田区深圳市高级中学5月高三模拟预测数学试题及答案
展开2023-2024学年广东省深圳市福田区外国语高级中学高二上学期期中数学试题含答案: 这是一份2023-2024学年广东省深圳市福田区外国语高级中学高二上学期期中数学试题含答案,共16页。试卷主要包含了单选题,多选题,填空题,解答题等内容,欢迎下载使用。
2024届广东省深圳市福田区红岭中学高三上学期第二次统考数学试题含答案: 这是一份2024届广东省深圳市福田区红岭中学高三上学期第二次统考数学试题含答案,共19页。试卷主要包含了单选题,多选题,填空题,双空题,问答题,解答题,计算题等内容,欢迎下载使用。
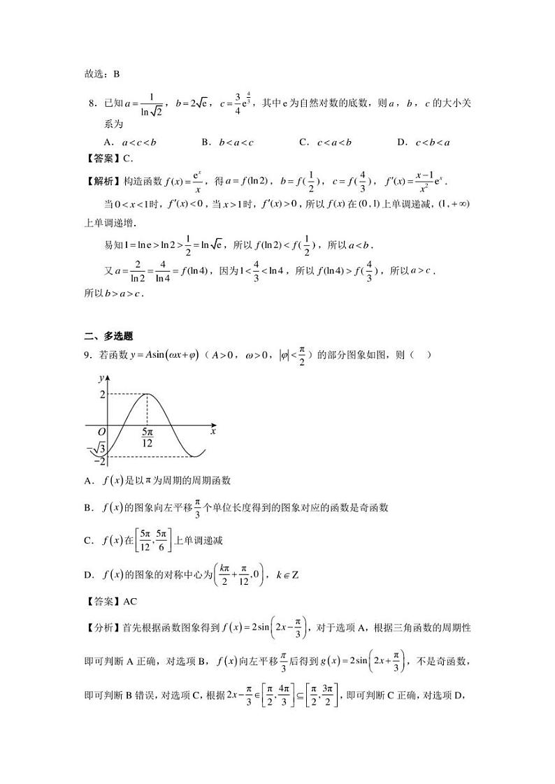
2023届广东省深圳市福田区红岭中学高三第五次统一考数学试题含解析: 这是一份2023届广东省深圳市福田区红岭中学高三第五次统一考数学试题含解析,共22页。试卷主要包含了单选题,多选题,填空题,双空题,解答题等内容,欢迎下载使用。

