所属成套资源:2024年高考数学一轮复习课件(新高考版)
2024年高考数学一轮复习(新高考版) 第3章 §3.8 隐零点与极值点偏移问题[培优课]课件PPT
展开
这是一份2024年高考数学一轮复习(新高考版) 第3章 §3.8 隐零点与极值点偏移问题[培优课]课件PPT,共39页。PPT课件主要包含了题型一,隐零点,思维升华,题型二,极值点偏移,故x1+x22,课时精练等内容,欢迎下载使用。
隐零点问题是指对函数的零点设而不求,通过一种整体代换和过渡,再结合题目条件最终解决问题;极值点偏移是指函数在极值点左右的增减速度不一样,导致函数图象不具有对称性,隐零点与极值点偏移问题常常出现在高考数学的压轴题中,这类题往往对思维要求较高,过程较为烦琐,计算量较大,难度大.
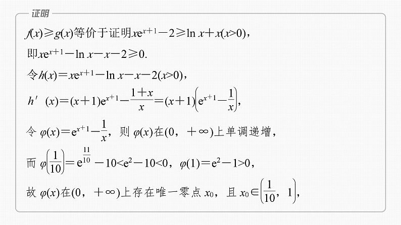
则当x∈(0,e)时,g′(x)>0,g(x)在(0,e)上单调递增,当x∈(e,+∞)时,g′(x)0时,证明:f(x)≥g(x).
f(x)≥g(x)等价于证明xex+1-2≥ln x+x(x>0),即xex+1-ln x-x-2≥0.令h(x)=xex+1-ln x-x-2(x>0),
当x∈(0,x0)时,φ(x)0,h(x)在(x0,+∞)上单调递增,故h(x)min=h(x0)= -ln x0-x0-2,
所以h(x0)=-ln x0-x0-1=(x0+1)-x0-1=0,从而h(x)≥h(x0)=0,即f(x)≥g(x).
零点问题求解三步曲(1)用函数零点存在定理判定导函数零点的存在性,列出零点方程f′(x0)=0,并结合f′(x)的单调性得到零点的取值范围.(2)以零点为分界点,说明导函数f′(x)的正负,进而得到f(x)的最值表达式.(3)将零点方程适当变形,整体代入最值式子进行化简证明,有时(1)中的零点范围还可以适当缩小.
跟踪训练1 (2023·潍坊模拟)设函数f(x)=x-aln x-2.(1)求f(x)的单调区间;
当a≤0时,f′(x)>0,∴f(x)在(0,+∞)上单调递增;当a>0时,若x∈(0,a),f′(x)0;∴f(x)在(0,a)上单调递减,在(a,+∞)上单调递增;综上所述,当a≤0时,f(x)的单调递增区间为(0,+∞);当a>0时,f(x)的单调递减区间为(0,a),单调递增区间为(a,+∞).
(2)若a=1,f′(x)为f(x)的导函数,当x>1时,ln x+1>(1+k)f′(x),求整数k的最大值.
当a=1时,f(x)=x-ln x-2,
由ln x+1>(1+k)f′(x)得,x(ln x+1)>(1+k)(x-1),
∴h(x)在(1,+∞)上单调递增,又h(3)=1-ln 30,∴∃x0∈(3,4),使得h(x0)=x0-ln x0-2=0,此时ln x0=x0-2,则当x∈(1,x0)时,g′(x)0,∴g(x)在(1,x0)上单调递减,在(x0,+∞)上单调递增,
∴k+1
相关课件
这是一份专题一 培优点4 极值点偏移问题--高三高考数学复习-PPT,共49页。PPT课件主要包含了内容索引,考点一,考点二,对称化构造函数,比值代换,专题强化练,规律方法等内容,欢迎下载使用。
这是一份第三章 §3.8 隐零点与极值点偏移问题[培优课](教师版+学生课时教案+课时作业+配套PPT),文件包含第三章§38隐零点与极值点偏移问题培优课课时配套pptpptx、第三章§38隐零点与极值点偏移问题培优课学生课时教案docx、第三章§38隐零点与极值点偏移问题培优课教师用书docx、第三章§38隐零点与极值点偏移问题培优课课时课后练习docx等4份课件配套教学资源,其中PPT共39页, 欢迎下载使用。
这是一份新高考数学一轮复习讲练测课件第3章§3.8隐零点与极值点偏移问题[培优课] (含解析),共39页。PPT课件主要包含了题型一,隐零点,思维升华,题型二,极值点偏移,故x1+x22,课时精练等内容,欢迎下载使用。

