- 2023年高考真题(全国甲卷)理综试卷+解析 试卷 1 次下载
- 2023年高考真题(全国甲卷)文综试卷+解析 试卷 0 次下载
- 2023年高考真题(全国甲卷)英语试卷+解析 试卷 1 次下载
- 2023年高考真题(全国甲卷)语文试卷+解析 试卷 10 次下载
- 2023年高考真题(全国乙卷)理综试卷+解析 试卷 0 次下载
2023年高考真题(全国甲卷)数学(理科)试卷+解析
展开2023年高考真题理科数学 (全国甲卷)解析
单选题 本大题共12小题,每小题5分,共60分。在每小题给出的4个选项中,有且只有一项是符合题目要求。
1题型: 单选题|分值: 5分
设集合,,U为整数集,则AUB=()
A
B
C
D
正确答案A
2题型: 单选题|分值: 5分
若复数,则 a =
A-1
B0
C1
D2
正确答案C
3题型: 单选题分值: 5分
执行下面的程序框图,输出的 B =
A21
B34
C55
D89
正确答案B
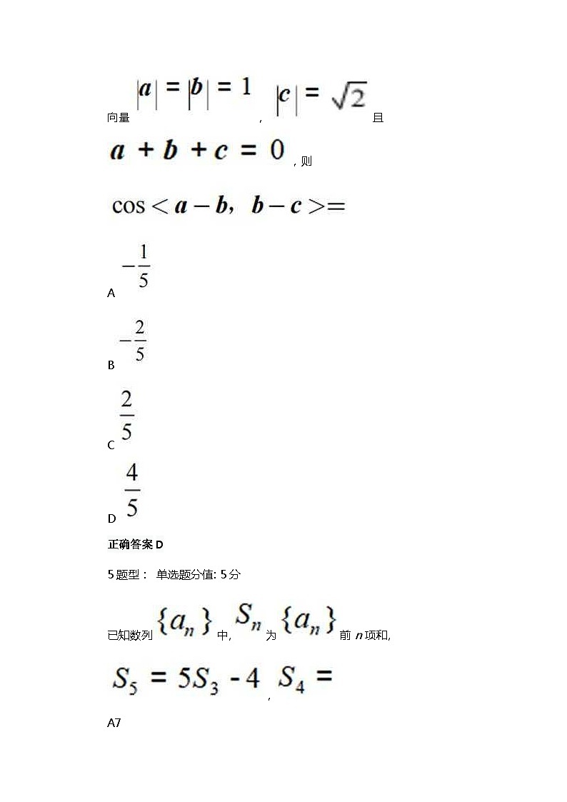
4题型: 单选题分值: 5分
向量,且,则
A
B
C
D
正确答案D
5题型: 单选题分值: 5分
已知数列中,为前 n 项和,,
A7
B9
C15
D20
正确答案C
6题型: 单选题分值: 5分
有50人报名足球俱乐部,60人报名乒乓球俱乐部,结束70人报名足球或乒乓球俱乐部,若已知某人报足球俱乐部,则其报乒乓球,俱乐部的概率为
A0.8
B0.4
C0.2
D0.1
正确答案A
7题型: 单选题分值: 5分
“”是“”的
A充分条件但不是必要条件
B必要条件但不是充分条件
C充要条件
D既不是充分条件也不是必要条件
正确答案B
8题型: 单选题分值: 5分
已知双曲线的离心率为,其中一条渐近线与圆交于A,B 两点,则
A
B
C
D
正确答案D
9题型: 单选题分值: 5分
有五名志愿者参加社区服务,共服务星期六、星期天两天,每天从中任选两人参加服务,
则两天中恰有1人连续参加两天服务的选择种数为
A120
B60
C40
D30
正确答案B
10题型: 单选题分值: 5分
已知为函数向左平移个单位所得函数,则与,交点个数为
A1
B2
C3
D4
正确答案C
11题型: 单选题分值: 5分
在四棱锥中,底面 ABCD为正方形,,,,则△PBC 的面积为
A
B
C
D
正确答案C
12题型: 单选题分值: 5分
已知椭圆,F1、F2 为两个焦点,O为原点,P为椭有圆上一点,,则
A
B
C
D
正确答案B
填空题 本大题共4小题,每小题5分,共20分。把答案填写在题中横线上。
13题型:填空题分值: 5分
若为偶函数,则 a =
正确答案2
14题型:填空题分值: 5分
设x,y满足约束条件,设,则 z 的最大值为
正确答案15
15题型:填空题分值: 5分
在正方体中,E,F分别为 CD,的中点,则以EF为直径的球面与正方体每条棱的交点总数为与正方体每条棱的交点总数为
正确答案12
16题型:填空题分值: 5分
已知△ABC中, ,,,AD 平分交 BC 于点 D ,则AD =
正确答案
2
简答题(综合题) 本大题共70分。简答应写出文字说明、证明过程或演算步骤。
17题型:简答题分值: 12分
已知数列中,,设为前 n 项和,
(1)求的通项公式;
(2)求数列的前 n 项和
正确答案
(1)
(2)
18题型:简答题分值: 12分
在三棱柱中,,底面ABC,,到平面,的距离为 1。
(1)证明:;
(2)若直线与距离为 2,求与平面所成角的正弦值。
正确答案
(1)证明:
(2)解:
19题型:简答题分值: 12分
为探究某药物对小鼠的生长作用,将 40 只小鼠均分为两组,分别为对照组(不药物)
和实验组(加药物)。
(1)设其中两只小鼠中对照组小鼠数目为 X,求 X 的分布到和数学期望;
(2)测得 40 只小鼠体重如下(单位:g):(已按从小到大排好)
(i)求 40 只小鼠体重的中位数 m,并完成下面 2×2 列联表:
(ii)根据 2×2 列联表,能否有 95%的把握认为药物对小鼠
生长有抑制作用
参考数据:
正确答案
(1)依题意,的可能取值为,
所以的分布列为:
(2)(i)依题意,可知这40只小鼠体重的中位数是将两组数据合在一起,从小到大排后第20位与第21位数据的平均数,由于原数据已经排好,所以我们只需要观察对照组第一排数据与实验组第二排数据即可,
可得第11位数据为,后续依次为,
故第20位为,第21位数据为,
故列联表为:
(ii)由(i)可得,,所以能有的把握认为药物对小鼠生长有抑制作用
20题型:简答题分值: 12分
直线与交与A,B两点,
(1)求P 的值;
(2)F为的焦点,M,N 为抛物线上的两点,且,求面积的最小值
正确答案
(1)解:
(2)解:
21题型:简答题分值: 12分
已知,
(1)
(2)
正确答案
(1)解:
(2)解:
设
22题型:简答题分值: 10分
选做题
[选修 4—4:坐标系与参数方程]
已知,直线(t为参数),l 与x轴,y轴正半轴交于A,B 两点,
(1)求a 的值;
(2)以原点为极点,x轴正半轴为极轴建立极坐标系,求l的极坐标方程
[选修4—5:不等式选讲]
已知
(1)解不等式;
(2)若与坐标轴围成的面积为 2,求 a
第(1)小题正确答案及相关解析
正确答案
(1)解:
(2)解:
第(2)小题正确答案及相关解析
正确答案
(1)解:
(2)解:
2023年高考全国甲卷语文真题(解析版): 这是一份2023年高考全国甲卷语文真题(解析版),共20页。
2023年高考真题(全国甲卷)语文试卷+解析: 这是一份2023年高考真题(全国甲卷)语文试卷+解析,文件包含2023年高考真题全国甲卷语文解析docx、2023年高考真题全国甲卷语文试卷docx等2份试卷配套教学资源,其中试卷共28页, 欢迎下载使用。
2023年高考真题(全国甲卷)英语试卷+解析: 这是一份2023年高考真题(全国甲卷)英语试卷+解析,文件包含2023年高考真题全国甲卷英语解析docx、2023年高考真题全国甲卷英语试卷docx等2份试卷配套教学资源,其中试卷共29页, 欢迎下载使用。

