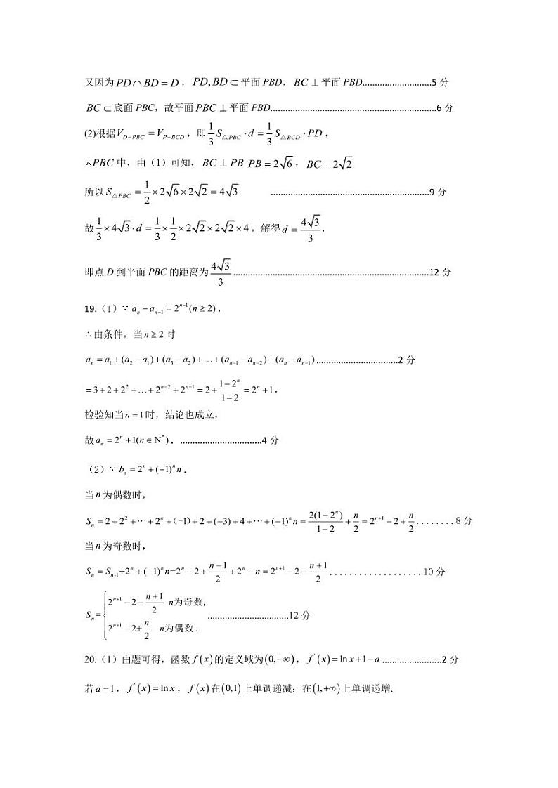
河南省郑州市2023届高三第三次质量预测l文科数学答案
展开河南省郑州市2023届高三第三次质量预测文科数学试题及答案: 这是一份河南省郑州市2023届高三第三次质量预测文科数学试题及答案,共8页。
河南省郑州市2023届高三第三次质量预测文科数学试题 PDF版无答案: 这是一份河南省郑州市2023届高三第三次质量预测文科数学试题 PDF版无答案,共3页。
河南省郑州市2023届高三第三次质量预测l理科数学试题 PDF版无答案: 这是一份河南省郑州市2023届高三第三次质量预测l理科数学试题 PDF版无答案,共3页。

