2023届福建省漳州市高三下学期第四次教学质量检测 数学 PDF版
展开2024届福建省漳州市高三上学期第一次教学质量检测 数学 PDF版: 这是一份2024届福建省漳州市高三上学期第一次教学质量检测 数学 PDF版,共14页。
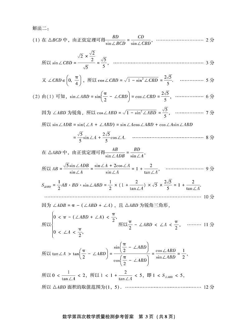
2023届福建省漳州市高三下学期第四次教学质量检测数学PDF版含答案: 这是一份2023届福建省漳州市高三下学期第四次教学质量检测数学PDF版含答案,文件包含福建省漳州市2023届高三毕业班第四次教学质量检测数学答案pdf、福建省漳州市2023届高三毕业班第四次教学质量检测数学pdf等2份试卷配套教学资源,其中试卷共12页, 欢迎下载使用。
福建省漳州市2023届高三第四次教学质量检测数学试卷+答案: 这是一份福建省漳州市2023届高三第四次教学质量检测数学试卷+答案,共16页。

