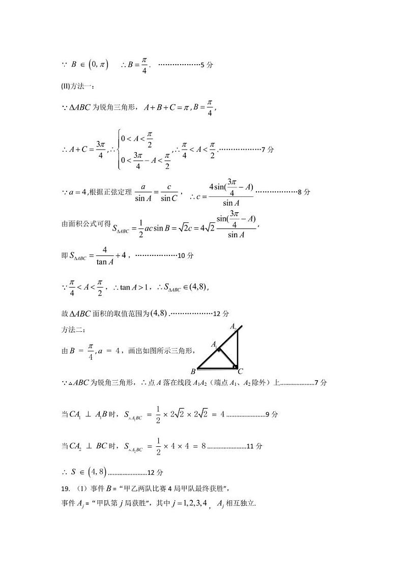
河北省石家庄市2023届高三教学质量检测(二)(一模)数学试卷
展开2023届河北省石家庄市高三教学质量检测(二)(一模)数学试题含解析: 这是一份2023届河北省石家庄市高三教学质量检测(二)(一模)数学试题含解析,共20页。试卷主要包含了单选题,多选题,填空题,解答题等内容,欢迎下载使用。
河北省石家庄市2023届高三数学下学期教学质量检测(二)(一模)(Word版附答案): 这是一份河北省石家庄市2023届高三数学下学期教学质量检测(二)(一模)(Word版附答案),共12页。试卷主要包含了函数的大致图象为等内容,欢迎下载使用。
河北省石家庄市2023届高三教学质量检测(一模)数学试题(含解析): 这是一份河北省石家庄市2023届高三教学质量检测(一模)数学试题(含解析),共23页。试卷主要包含了单选题,多选题,填空题,解答题等内容,欢迎下载使用。

