2022-2023学年河南省南阳市高二上学期期末质量评估试题数学PDF版含答案
展开河南省南阳市2022-2023学年高三上学期期终质量评估(期末)数学(文)试题(Word版附解析): 这是一份河南省南阳市2022-2023学年高三上学期期终质量评估(期末)数学(文)试题(Word版附解析),共26页。试卷主要包含了选择题,填空题,解答题等内容,欢迎下载使用。
河南省南阳市2022-2023学年高三上学期期终质量评估(期末)数学(理)试题(Word版附解析): 这是一份河南省南阳市2022-2023学年高三上学期期终质量评估(期末)数学(理)试题(Word版附解析),共25页。试卷主要包含了本试卷分第I卷两部分,保持卷面清洁,不折叠、不破损等内容,欢迎下载使用。
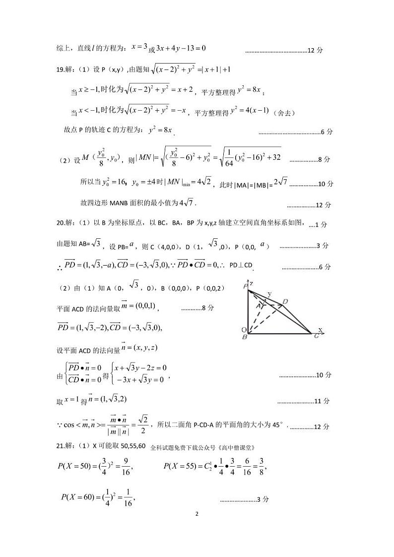
2021届河南省南阳市高三上学期期中质量评估数学(文)试题 PDF版: 这是一份2021届河南省南阳市高三上学期期中质量评估数学(文)试题 PDF版,文件包含2020年秋期南阳市高中三年级期中质量评估+数学文试题pdf、2020年秋期高中三年级期中质量评估数学文试题答案pdf等2份试卷配套教学资源,其中试卷共8页, 欢迎下载使用。

