专题14+三角函数选填题-【2023高考必备】十年(2013-2022)高考数学真题分项汇编(理科,全国通用)
展开2013-2022十年全国高考数学真题分类汇编
专题14 三角函数选填题
一、选择题
1.(2022年全国甲卷理科·第12题)已知,则( )
A. B. C. D.
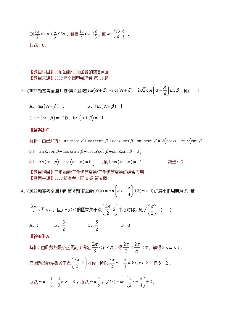
2.(2022年全国甲卷理科·第11题)设函数在区间恰有三个极值点、两个零点,则的取值范围是( )
A. B. C. D.
3.(2022新高考全国II卷·第6题)若,则( )
A. B.
CD.
4.(2022新高考全国I卷·第6题)记函数的最小正周期为T.若,且的图象关于点中心对称,则( )
A.1 B. C. D.3
5.(2021年新高考Ⅰ卷·第6题)若,则( )
AB.C.D.
6.(2021年新高考Ⅰ卷·第4题)下列区间中,函数单调递增的区间是( )
A. B. C. D.
7.(2021年高考全国乙卷理科·第9题)魏晋时刘徽撰写的《海岛算经》是关测量的数学著作,其中第一题是测海岛的高.如图,点,,在水平线上,和是两个垂直于水平面且等高的测量标杆的高度,称为“表高”,称为“表距”,和都称为“表目距”,与的差称为“表目距的差”则海岛的高( )
( )
A.表高 B.表高
C.表距 D.表距
8.(2021年高考全国乙卷理科·第7题)把函数图像上所有点的横坐标缩短到原来的倍,纵坐标不变,再把所得曲线向右平移个单位长度,得到函数的图像,则( )
A. B. C. D.
9.(2021年高考全国甲卷理科·第9题)若,则( )
A. B. C. D.
10.(2021年高考全国甲卷理科·第8题)2020年12月8日,中国和尼泊尔联合公布珠穆朗玛峰最新高程为8848.86(单位:m),三角高程测量法是珠峰高程测量方法之一.如图是三角高程测量法的一个示意图,现有A.B.C三点,且A.B.C在同一水平面上的投影满足,.由C点测得B点的仰角为,与的差为100;由B点测得A点的仰角为,则A.C两点到水平面的高度差约为()( )
A.346 B.373 C.446 D.473
11.(2020年高考数学课标Ⅰ卷理科·第9题)已知,且,则( )
A. B. C. D.
12.(2020年高考数学课标Ⅰ卷理科·第7题)设函数在的图像大致如下图,则f(x)的最小正周期为( )
( )
A. B. C. D.
13.(2020年高考数学课标Ⅱ卷理科·第2题)若α为第四象限角,则( )
A.cos2α>0 B.cos2α<0 C.sin2α>0 D.sin2α<0
14.(2020年高考数学课标Ⅲ卷理科·第9题)已知2tanθ–tan(θ+)=7,则tanθ=( )
A.–2 B.–1 C.1 D.2
15.(2020年高考数学课标Ⅲ卷理科·第7题)在△ABC中,cosC=,AC=4,BC=3,则cosB=( )
A. B. C. D.
16.(2019年高考数学课标Ⅲ卷理科·第12题)设函数(>0),已知在有且仅有5个零点,下述四个结论:
①在有且仅有3个极大值点②在有且仅有2个极小值点
③在单调递增④的取值范围是
其中所有正确结论的编号是( )
A.①④ B.②③ C.①②③ D.①③④
17.(2019年高考数学课标全国Ⅱ卷理科·第10题)已知,,则( )
A. B. C. D.
18.(2019年高考数学课标全国Ⅱ卷理科·第9题)下列函数中,以为周期且在区间单调递增的是( )
A. B. C. D.
19.(2019年高考数学课标全国Ⅰ卷理科·第11题)关于函数有下述四个结论:
①是偶函数②在区间单调递增
③在有4个零点④的最大值为2
其中所有正确结论的编号是( )
A.①②④ | B.②④ | C.①④ | D.①③ |
20.(2018年高考数学课标Ⅲ卷(理)·第9题)的内角的对边分别为,若的面积为,则( )
A. B. C. D.
21.(2018年高考数学课标Ⅲ卷(理)·第4题)若,则( )
A. B. C. D.
22.(2018年高考数学课标Ⅱ卷(理)·第10题)若在是减函数,则的最大值是( )
A. B. C. D.
23.(2018年高考数学课标Ⅱ卷(理)·第6题)在中,,,,则( )
A. B. C. D.
24.(2017年高考数学新课标Ⅰ卷理科·第9题)已知曲线,,则下面结论正确的是( )
A.把上各点的横坐标伸长到原来的2倍,纵坐标不变,再把得到的曲线向右平移个单位长度,得到曲线
B.把上各点的横坐标伸长到原来的2倍,纵坐标不变,再把得到的曲线向左平移个单位长度,得到曲线
C.把上各点的横坐标缩短到原来的倍,纵坐标不变,再把得到的曲线向右平移个单位长度,得到曲线
D.把上各点的横坐标缩短到原来的倍,纵坐标不变,再把得到的曲线向左平移个单位长度,得到曲线
25.(2017年高考数学课标Ⅲ卷理科·第6题)设函数,则下列结论错误的是( )
A.的一个周期为 B.的图像关于直线对称
C.的一个零点为 D.在单调递减
26.(2016高考数学课标Ⅲ卷理科·第8题)在△ABC中,,边上的高等于,则( )
A. B. C. D.
27.(2016高考数学课标Ⅲ卷理科·第5题)若,则( )
A. B. C. D.
28.(2016高考数学课标Ⅱ卷理科·第9题)若,则( )
A. B. C. D.
29.(2016高考数学课标Ⅱ卷理科·第7题)若将函数的图像向左平移个单位长度,则平移后图象的对称轴为( )
A. B.
C. D.
30.(2016高考数学课标Ⅰ卷理科·第12题)已知函数为的零点,为图像的对称轴,且在单调,则的最大值为( )
(A)11(B)9(C)7(D)5
31.(2015高考数学新课标1理科·第8题)函数=的部分图像如图所示,则的单调递减区间为( )
A. B.
C. D.
32.(2015高考数学新课标1理科·第2题)( )
A. B. C. D.
33.(2014高考数学课标2理科·第12题)设函数.若存在的极值点满足,则m的取值范围是( )
A. B.
C. D.
34.(2014高考数学课标2理科·第4题)钝角三角形ABC的面积是,AB=1,BC=,则AC=( )
A.5 B. C.2 D.1
35.(2014高考数学课标1理科·第8题)设,,且,则( )
A. B. C. D.
二、多选题
36.(2022新高考全国II卷·第9题)已知函数的图像关于点中心对称,则( )
A.在区间单调递减
B.在区间有两个极值点
C.直线是曲线的对称轴
D.直线是曲线的切线
37.(2020年新高考I卷(山东卷)·第10题)下图是函数y=sin(ωx+φ)部分图像,则sin(ωx+φ)=( )
( )
A. B. C. D.
38.(2020新高考II卷(海南卷)·第11题)下图是函数y=sin(ωx+φ)的部分图像,则sin(ωx+φ)=( )
( )
A. B. C. D.
三、填空题
39.(2022年全国甲卷理科·第16题)已知中,点D在边BC上,.当取得最小值时,________.
40.(2022年全国乙卷理科·第15题)记函数的最小正周期为T,若,为的零点,则的最小值为____________.
41.(2020年新高考I卷(山东卷)·第15题)某中学开展劳动实习,学生加工制作零件,零件的截面如图所示.O为圆孔及轮廓圆弧AB所在圆的圆心,A是圆弧AB与直线AG的切点,B是圆弧AB与直线BC的切点,四边形DEFG为矩形,BC⊥DG,垂足为C,tan∠ODC=,,EF=12 cm,DE=2 cm,A到直线DE和EF的距离均为7 cm,圆孔半径为1 cm,则图中阴影部分的面积为________cm2.
42.(2020新高考II卷(海南卷)·第16题)某中学开展劳动实习,学生加工制作零件,零件的截面如图所示.O为圆孔及轮廓圆弧AB所在圆的圆心,A是圆弧AB与直线AG的切点,B是圆弧AB与直线BC的切点,四边形DEFG为矩形,BC⊥DG,垂足为C,tan∠ODC=,,EF=12 cm,DE=2 cm,A到直线DE和EF的距离均为7 cm,圆孔半径为1 cm,则图中阴影部分的面积为________cm2.
43.(2021年高考全国乙卷理科·第15题)记的内角A,B,C的对边分别为a,b,c,面积为,,,则________.
44.(2021年高考全国甲卷理科·第16题)已知函数的部分图像如图所示,则满足条件的最小正整数x为________.
45.(2020年高考数学课标Ⅰ卷理科·第16题)如图,在三棱锥P–ABC的平面展开图中,AC=1,,AB⊥AC,AB⊥AD,∠CAE=30°,则cos∠FCB=______________.
46.(2020年高考数学课标Ⅲ卷理科·第16题)关于函数f(x)=有如下四个命题:
①f(x)的图像关于y轴对称.
②f(x)的图像关于原点对称.
③f(x)的图像关于直线x=对称.
④f(x)的最小值为2.
其中所有真命题的序号是__________.
47.(2019年高考数学课标全国Ⅱ卷理科·第15题)的内角,,的对边分别为,,.若,,,则的面积为 .
48.(2018年高考数学课标Ⅲ卷(理)·第15题)函数在的零点个数为 .
49.(2018年高考数学课标Ⅱ卷(理)·第15题)已知,,则__________.
50.(2017年高考数学课标Ⅱ卷理科·第14题)函数()的最大值是 .
51.(2016高考数学课标Ⅲ卷理科·第14题)函数的图像可由函数的图像至少向右平移_____________个单位长度得到.
52.(2016高考数学课标Ⅱ卷理科·第13题)的内角的对边分别为,若,,,则 .
53.(2015高考数学新课标1理科·第16题)在平面四边形中,,B,则的取值范围是 .
54.(2014高考数学课标2理科·第14题)函数的最大值为_________.
55.(2014高考数学课标1理科·第16题)已知分别为的三个内角的对边,=2,且,则面积的最大值为__________.
56.(2013高考数学新课标2理科·第15题)设为第二象限角,若,则=________.
57.(2013高考数学新课标1理科·第15题)设当时,函数取得最大值,则 =______.
专题16+立体几何选填题-【2023高考必备】十年(2013-2022)高考数学真题分项汇编(理科,全国通用): 这是一份专题16+立体几何选填题-【2023高考必备】十年(2013-2022)高考数学真题分项汇编(理科,全国通用),文件包含专题16立体几何选填题-2023高考必备2013-2022十年全国高考数学真题分类汇编全国通用版原卷版docx、专题16立体几何选填题2023高考必备2013-2022十年全国高考数学真题分类汇编全国通用版解析版docx等2份试卷配套教学资源,其中试卷共65页, 欢迎下载使用。
专题12+概率统计选填题-【2023高考必备】十年(2013-2022)高考数学真题分项汇编(理科,全国通用): 这是一份专题12+概率统计选填题-【2023高考必备】十年(2013-2022)高考数学真题分项汇编(理科,全国通用),文件包含专题12概率统计选填题-2023高考必备2013-2022十年全国高考数学真题分类汇编全国通用版原卷版docx、专题12概率统计选填题2023高考必备2013-2022十年全国高考数学真题分类汇编全国通用版解析版docx等2份试卷配套教学资源,其中试卷共29页, 欢迎下载使用。
专题12+概率统计选填题-【2023高考必备】十年(2013-2022)高考数学真题分项汇编(理科,全国通用): 这是一份专题12+概率统计选填题-【2023高考必备】十年(2013-2022)高考数学真题分项汇编(理科,全国通用),文件包含专题12概率统计选填题2023高考必备2013-2022十年全国高考数学真题分类汇编全国通用版解析版docx、专题12概率统计选填题-2023高考必备2013-2022十年全国高考数学真题分类汇编全国通用版原卷版docx等2份试卷配套教学资源,其中试卷共29页, 欢迎下载使用。

