还剩12页未读,
继续阅读
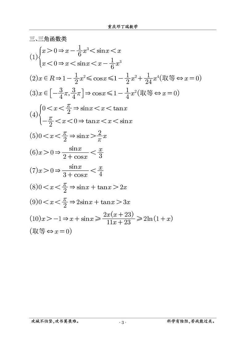
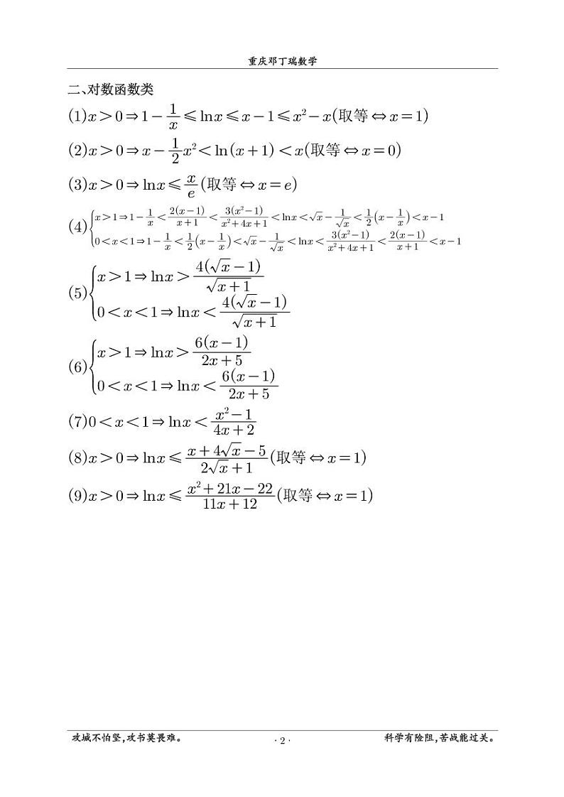
高考数学实用技巧——函数放缩公式集锦
展开
这是一份高考数学实用技巧——函数放缩公式集锦,共15页。
相关试卷
高考数学二轮专题复习——函数放缩公式集锦:
这是一份高考数学二轮专题复习——函数放缩公式集锦,共15页。
2024届高考数学创新题型---函数与导数切线放缩:
这是一份2024届高考数学创新题型---函数与导数切线放缩,文件包含切线放缩--2024届高考数学拓展pdf、切线放缩--2024届高考数学拓展学生版pdf等2份试卷配套教学资源,其中试卷共10页, 欢迎下载使用。
新高考数学二轮培优专题 利用函数放缩证明不等式、数列(原卷版+解析版):
这是一份新高考数学二轮培优专题 利用函数放缩证明不等式、数列(原卷版+解析版),共23页。

